所屬科目:一二三等大管輪◆電機電子與自動控制
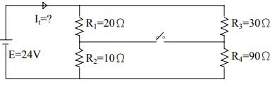
1. 如下圖, I t =? (A) 1.5A (B) 1.4A (C) 1.143A (D) 1A
2. 下圖為漆包線繞在鑄鐵上,並接上直流電源,試問 N 極是在鑄鐵之左側或是右側(例如: ,為 N 在左) (A) 圖 A 是 N 在左,圖B 是 N 在右 (B) 圖 A 是 N 在右,圖B 是 N 在左 (C) 二者的 N 都在左 (D) 二者的 N 都在右
4. 試問下圖是什麼電子元件 (A) 光電二極體 (B) 發光二極體 (C) npn 雙極電晶體 (D) pnp 雙極電晶體
5. 如下圖是電壓比較器,若輸入 ,則輸出為 (A) 0 (B) 1 (C) V 0 > 0 (D) V 0 < 0
9. 下列從 A 到 D 那個是光電二極體 (A) A (B) B (C) C (D) D
10. 下圖中有四個 SCR ,也有四個開關 (S) 。試問那一個 S 的切入 ( 閉合 ) 是用來使 SCR 導通的 (A) S 1 (B) S 2 (C) S 3 (D) S 4