所屬科目:高中(學測,指考)◆數學
1. 若數列 中每一項皆為1或-1 ,則 之值有多少種可能? (A) 10 (B) 11 (C) (D) (E)210
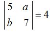
2. 已知 a, b 為整數且行列式 ,則絕對值 為何? (A) 16 (B) 31 (C) 32 (D) 39 (E) 條件不足,無法確定
4. 坐標平面上給定兩點A(1,0) 與 B(0,1),又考慮另外三點與 。令 △PAB的面積為p 、△ QAB的面積為q 、△ RAB的面積為 r。請問下列哪一個選項是正確的? (A) (B) (C) (D) (E)
6. 坐標空間中O 為原點,點A 的坐標為 (1,2,1)。設S 是以O 為球心、4為半徑的球面。請問在S 上滿足內積 的所有點 所成的圖形為何? (A) 空集合 (B) 一個點 (C) 兩個點 (D) 一個圓 (E) 兩個圓
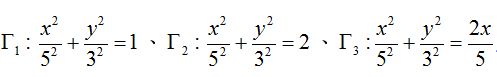
7. 令橢圓 的長軸長分別為 。請問下列哪一個選項是正確的? (A) (B) (C) (D) (E)
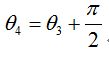
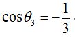
8. 設 分別為第一、第二、第三、第四象限角,且都介於0 與2π 之間。已知 ,請問下列哪些選項是正確的? (A) (B) (C) (D) (E)
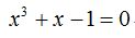
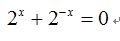
9. 下列哪些方程式有實數解? (A) (B) (C) (D) (E)
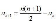
10. 設 為一實數數列,且對所有的正整數n 滿足 。請問下列哪些選項是正確的? (A) 如果a1=1 ,則a2=1 (B) 如果 a1是整數,則此數列的每一項都是整數 (C) 如果 a1是無理數,則此數列的每一項都是無理數 (D) (n為正整數) (E) 如果ak 是奇數,則 都是奇數(n為正整數)
11. 坐標空間中,直線L 上距離點Q 最近的點稱為Q 在L 上的投影點。已知 L為平面2x-y=2 上通過點(2,2,2) 的一直線。請問下列哪些選項中的點可能是原點O 在 L上的投影點? (A)(2,2,2) (B) (2,0,2) (C) (D) (E)
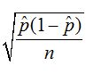
12. 想要了解台灣的公民對某議題支持的程度所作的抽樣調查,依性別區分,所得結果如下表: 請問從此次抽樣結果可以得到下列哪些推論? (A) 全台灣男性公民贊成此議題的比例大於女性公民贊成此議題的比例 (B) 在95%的信心水準之下,全台灣女性公民贊成此議題之比例的信賴區間為 (計算到小數點後第二位,以下四捨五入) (C) 此次抽樣的女性公民數少於男性公民數 (D) 如果不區分性別,此次抽樣贊成此議題的比例 介於0.52與0.59之間 (5) 如果不區分性別,此次抽樣 的標準差 介於0.02與0.04之間
A. 坐標平面上有一個平行四邊形ABCD,其中點A的坐標為(2,1) ,點B的坐標為(8,2) ,點C在第一象限且知其x 坐標為12 。若平行四邊形ABCD的面積等於38平方單位,則點D的坐標為( )。
B. 設f(x) 為滿足下列條件的最低次實係數多項式: f(x) 最高次項的係數為1,且皆為方程式 f(x)=0的解(其中i2=-1 )。則f(x) 之常數項為 ____________。
C.有一個兩列三行的表格如右下圖。在六個空格中分別填入數字1、2、3、4、5、6(不得重複),則1、2這兩個數字在同一行或同一列的方法有__________ 種
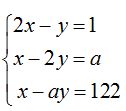
D. 設實數a>0 。若x 、y 的方程組 有解,則a=______________ 。
E. 如右圖,直角三角形ABD 中,∠ A為直角, C為 邊上的點。已知 ,則 。(化成最簡分數)
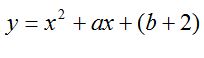
F. 設 a、b 為實數。已知坐標平面上拋物線y+x2+ax+b 與 x軸交於P、Q兩點,且=7 。若拋物線 與x 軸的兩交點為R、S,則 。
G. 已知△ABC 中,且 ,則 。(化成最簡分數)
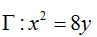
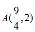
H. 坐標平面上給定點 、直線 與拋物線 。以d(P,L) 表示點P到直線L的距離。若點P在 Γ上變動,則 之最大值為 。(化成最簡分數)