阿摩線上測驗
登入
首頁
>
技師◆飛機結構學
> 99年 - 99 專技高考_航空工程技師:飛機結構學#29846
99年 - 99 專技高考_航空工程技師:飛機結構學#29846
科目:
技師◆飛機結構學 |
年份:
99年 |
選擇題數:
0 |
申論題數:
6
試卷資訊
所屬科目:
技師◆飛機結構學
選擇題 (0)
申論題 (6)
一、考慮一個在直角座標之三維應力元素,其應力分量為σ
x
、 τ
xy
、 τ
xz
、σ
y
、 τ
yx
、τ
yz
、 σ z、τ
zx
及 τ
zy
;若忽略其徹體力(body force),試推導應力之平衡微分方程式 (differential equations of equilibrium)。(10 分)
【已刪除】二、下圖之平面剛架(frame)的桿件有相同且為常數的撓曲剛度(flexural rigidity)EI, 試求節點 C 的水平位移及轉角。(20 分)
【已刪除】三、下圖所示之樑承受一均勻分佈力,且其撓曲剛度(flexural rigidity)EI 為常數,試 求其變形曲線的方程式及支撐處的反作用力。(20 分)
【已刪除】四、考慮一截面均勻、且其撓曲剛度(flexural rigidity)EI 為常數的理想柱,如下圖所 示。試從求解該柱子之變形曲線的微分方程式,求其挫曲方程式(buckling equation) 及挫曲的形狀。(15 分)
【已刪除】五、假設一機翼結構的截面如下圖所示,承受側向力Vy =− 4000N 及 Vz = − 6000 N,凸緣 (flange)面積為
、
。試計算各腹板之剪力流(shear flow)。(25 分)
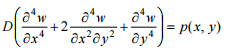
【已刪除】六、薄平板的控制方程式為
其中w為平板的側向位移,D為平板的撓曲剛度(flexural rigidity), p x y),( 為分佈 力。考慮一長及寬分別為a及b之矩形平板,其四邊皆為簡支撐,且承受一均勻分佈 的外力p0,試求該平板的最大位移。(10 分)
相關試卷
109年 - 109 專技高考_航空工程技師:飛機結構學#93230
109年 · #93230
107年 - 107 專技高考_航空工程技師:飛機結構學#72979
107年 · #72979
103年 - 103 專技高考_航空工程技師:飛機結構學#25351
103年 · #25351
101年 - 101 專技高考_航空工程技師:飛機結構學#26615
101年 · #26615
98年 - 98 專技高考_航空工程技師:飛機結構學#35700
98年 · #35700
97年 - 97 專技高考_航空工程技師:飛機結構學#36671
97年 · #36671
96年 - 96 專技高考_航空工程技師:飛機結構學#36598
96年 · #36598
95年 - 95 專技高考_航空工程技師:飛機結構學#36644
95年 · #36644