阿摩線上測驗 登入

試題詳解

試卷:111年 - 111 大學入學考試中心 學科能力測驗參考試卷:數學B#105761 | 科目:高中(學測,指考)◆數學

試卷資訊

試卷名稱:111年 - 111 大學入學考試中心 學科能力測驗參考試卷:數學B#105761

年份:111年

科目:高中(學測,指考)◆數學

複選題

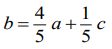
11. 三個相異實數 a、b、c 滿足61dfcb5eab920.jpg。將 a、b、c 標示在數線上,試選出正確的選項。
(A) b 在 a 與 c 之間
(B) a 到 c 的距離是 a 到 b 的距離的 5 倍
(C) ac b + > 2
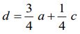
(D) 若61dfcb78eb7a2.jpg,則 d 在 b 與 c 之間
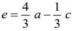
(E) 若61dfcb888d902.jpg ,則 e 在 b 與 c 之間

正確答案:登入後查看

詳解 (共 2 筆)

推薦的詳解#5304924
未解鎖


(共 1 字,隱藏中)
前往觀看
3
0
推薦的詳解#7204459
未解鎖
這是一道關於數線上的分點公式(Secti...
(共 2905 字,隱藏中)
前往觀看
0
0

私人筆記 (共 1 筆)

私人筆記#4927733
未解鎖


(共 0 字,隱藏中)
前往觀看
1
0