所屬科目:高中(學測,指考)◆數學
1. 有一燈泡掛在離地面 3 公尺的垂直牆面,燈泡外有一個圓柱形燈罩, 此燈罩與牆面夾角為 60° ,如圖。當通電後,光源照在地面形成光 影。假設整個光影均在地面上,則此光影的邊界為下列哪一種曲線 或曲線的部分圖形? (A) 直線 (B) 圓 (C) 拋物線 (D) 橢圓 (E) 雙曲線
3. 在展開式中,p9q3項的係數為何? (A) −1320 (B) −220 (C) 12 (D) 220 (E) 1320
4. 設f(x)為首項係數為正的二次函數,且通過 (1,0), (2,0) 兩點。若 y =f(x)的圖形右移 1 單 位,形成另一個函數 y=g(x)的圖形,則f(x)+g(x) ≥0 的解為何? (A) 1 ≤x≤ 2(B) x ≤ 1或 x ≥ 2 (C) x ≤ 2或 x ≥ 3 (D) x ≤ 1或 x ≥ 3 (E) x 為任意實數
5. 古代工匠知道將長方體磚塊以某個固定的角度相接就可砌出近似圓形的牆面,下圖是用 10 塊長方體磚塊砌成一近似圓形的牆面,每塊長方體的長邊為 1 單位,相鄰兩塊磚之間固定夾 36° 角。試問此近似圓形牆 面內部所能容納最大圓形的半徑是多少單位?
(A) cos18° (B) (C) (D) (E)
6. 聲音大小(單位為分貝)取決於聲波通過介質時,所產生的壓力變化(簡稱聲壓,單位為 N/m2)。已知聲壓 x 與聲音大小 y 的關係式為,且目前噪音管 制法規範某類工廠的日間聲音不得超過 80 分貝。若某工廠運作時測得的聲音剛好為 80 分貝,則該工廠的聲壓為多少N/m2? (A) 0.2 (B) 0.5 (C) 2 (D) 5 (E) 20
7. 舊制 BMI 的計算法是「 」,而英國數學家於 2013 年提出一項新制 BMI 的計算方法為「」。現有甲、乙、丙三人的體重及身高如下表: 試問甲、乙、丙三人中誰的新制 BMI 值會比舊制 BMI 值大? (A) 僅有甲 (B) 僅有乙 (C) 僅有丙 (D) 僅有甲、乙 (E) 甲、乙、丙
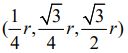
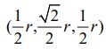
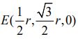
8. 假設地球為一半徑 r 的球體,今將坐標空間的原點置於球心,赤道 位於 xy 平面上,z 軸正向為球心往正北極方向,又本初子午線(弧 )是 0 度經線,位於 xz 平面上,且交 x 軸於點 S r( ,0,0) ,如 圖。已知赤道上一點位於東經 60 度,則地球上位於東經 30 度、北緯 60 度的空間點坐標為何? (A) (B) (C) (D)(E)
9. 下表是觀光局統計 2001 年到 2014 年國外來臺灣的旅客人數(以萬人計),例如 2013 年來臺旅客達 802 萬人次,下圖為各年度與旅客人數的折線圖。這幾年來臺旅客數幾乎 都是逐年增加,不過,其中某年的 3 月 14 日臺灣發現第一個 SARS(嚴重急性呼吸道 症候群)病例,旅客數因而大量的減少,直到同年 7 月 5 日,臺灣從 SARS 感染區除名 後,旅客才又逐年增加。 根據上述資料,試選出正確選項。 (A) 在臺灣發現的第一個 SARS 病例是 2003 年 (B) 旅客國外來臺的人數比前一年增加最多的是 2012 年 (C) 2001 年到 2014 年國外來臺的旅客人數的中位數小於 380 萬人 (D) 2014 年國外來臺旅客人數的成長率超過 30% (E) 國外來臺旅客人數的成長率以 2014 年為最高
10. 已知三次實係數函數 f(x) =a(x+2)3+2(x+2)+16,且 f (0)=12 ,試選出正確的選項。 (A) a < 0 (B) f(x) 的 x2項係數為 0 (C) y=f(x)圖形的對稱中心為(2,16) (D) f (-4)=20 (E) y=f(x)的圖形在 x = −2 附近的近似直線斜率為 2
11. 三個相異實數 a、b、c 滿足。將 a、b、c 標示在數線上,試選出正確的選項。 (A) b 在 a 與 c 之間 (B) a 到 c 的距離是 a 到 b 的距離的 5 倍 (C) ac b + > 2 (D) 若,則 d 在 b 與 c 之間 (E) 若 ,則 e 在 b 與 c 之間
12. 運輸船進港卸貨時間會受到水深的影響,水深夠深時,才能進港卸貨。某人測量某海港 某日 24 小時之時間 t(單位:時)與水深 h(單位:公尺)的關係,下表為其當日凌晨0:00 到中午 12:00 的部分數據。 例如:凌晨 0:00 測量水深為 12.5 公尺。根據上表,當日此海港的水深與測量時間符合正弦函數 h(t)=a sin(bt)+12.5,其中 a>0, b>0。依此正弦函數模型,試選出正確的選項。 (A) 當日的 18:00 與 24:00 的水深相同 (B) 若運輸船可在下午某時間進港卸貨,則最好的時間點約為 15:00 (C) 水深大約每 6 小時循環一次 (D) 此正弦函數的振幅 a > 5 (E)
15. 設平面向量和互相垂直,且。若的長度為 6,則的長度為______。(化成最簡根式)
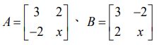
16. 設方陣 ,其中x為實數。已知 A 的反方陣恰好是 B 的 c 倍,則 數對 (x,c) = (______)。(化成最簡分數)
17. 根據過去的經驗,小明把傘放在便利商店沒帶 走傘的機率是 ,放在公車上沒帶走傘的機率是,上學把傘放在教室沒帶走傘的機率是。今天早上他帶傘出門,先去便利 商店買了早餐,然後坐公車去上學,放學走出校門時,發現傘不見了的機率是______。(化成最簡分數)