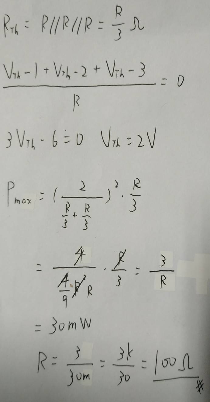
15 如圖所示電路,請依最大功率轉移定理分析,若負載
獲致之最大功率為 30 mW,R 為多少歐姆(Ω)?
(A) 50
(B) 100
(C) 150
(D) 200
答案:登入後查看
統計: A(27), B(190), C(64), D(26), E(0) #3190273
統計: A(27), B(190), C(64), D(26), E(0) #3190273
