16 下列何種管理工具是用網狀圖來呈現工作與時間的關係?
(A)決策矩陣
(B)要徑法
(C)決策樹
(D)心智圖
統計: A(795), B(3465), C(984), D(468), E(0) #1982638
詳解 (共 8 筆)
(A)決策矩陣 : 運用不同分析標準及方法,從多種可行方案中選出最優方案。
(C)決策樹 :計算各方案期望值。
使用決策樹分析(decision tree analysis)時,必須計算各個方案的:
(A)最低報酬(minimized payoff)
(B)最大報酬(maximized payoff)
(C)期望報酬(expected payoff)
(D)折現報酬(discounted payoff)
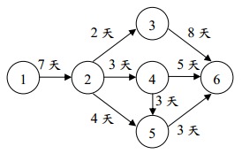
要徑法圖例

「要徑法」是發展專案時程的一種時程網路分析技術,以決定該專案時程網路不同邏輯路徑排程彈性。 要徑是專案時程中「最長路徑」,確定該專案活動所需「最短期程」。
心智圖(英語:Mind Map),又稱腦圖、心智地圖、腦力激盪圖、思維導圖、靈感觸發圖、概念地圖、或思維地圖,是一種圖像式思維的工具以及一種利用圖像式思考輔助工具來表達思維的工具。
心智圖是使用一個中央關鍵詞或想法引起形象化的構造和分類的想法;它用一個中央關鍵詞或想法以輻射線形連接所有的代表字詞、想法、任務或其它關聯專案的圖解方式。它可以利用不同的方式去表現人們的想法,如引題式,可見形象化式,建構系統式和分類式。它普遍地用作在研究、組織、解決問題和政策制定中。
心智圖是一張集中了所有關連資訊的語意網路或認知體系圖像。所有關連資訊都是被輻射線形及非線性圖解方式接連在一起,以腦力激盪法為本去建立一個適當或相關的概念性組織任務框架。但腦力激盪法並非以格式的方式去互相連接語意網路或認知體系,亦即是可以自由相連接使用的。元素是直覺地以概念的重要性而被安排及組織入分組、分支,或區域中。會集知識方法能夠支援現有的記憶,去思考語意的結構資訊。
from維基
什麼是決策樹?
它是種邏輯上比較單純的演算法,就像是一般人在衡量各種條件時的情境,來舉個簡單的例子:
假設影響我明天是否會出門的因素只有兩個:
「有沒有下雨?」、「氣溫是否超過30度?」
那決策的過程和所有可能的結果,應該就像下面這張圖

優點:
- 快速:因為運算過程比其他演算法簡單,所以運算時間較短。
- 可解釋性:運算過程像是人在做決策時的推理過程,所以感覺上會比較「直覺」。在運算同時透過程式將每個「決策條件」與「先後順序」記錄下來,就可以輸出成樹狀圖,讓這模型做預測的邏輯可一目了然,對於不懂技術的人也可以很直觀地理解。