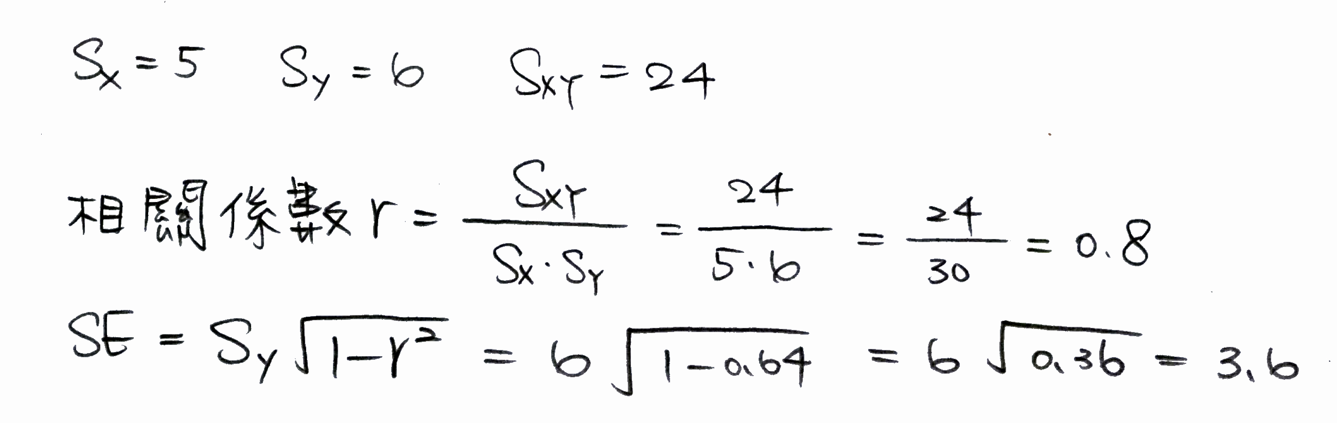
18. 10 位母親與其子的身高,母親身高X的平均數為 168,標準差為 5;兒子身高Y的平均數為 172,標準差為 6。母子之間身高的共變數為 24,請問其相關係數、標準迴歸係數及估計標準誤依序為何?
(A) 0.80、0.64、3.82
(B) 0.80、0.80、3.60
(C) 0.64、0.80、3.82
(D) 0.64、0.64、3.60
統計: A(1821), B(7231), C(2951), D(1359), E(0) #841636
詳解 (共 10 筆)

相關係數
共變數=相關係數×母標準差×兒標準差
24=相關係數×5×6
相關係數=24÷(5×6)
=0.8
標準迴歸係數
標準迴歸係數=迴歸係數×兒標準差÷母標準差
迴歸係數=共變數÷兒變異數<<<<<<<兒變異數=兒標準差的平方
=共變數÷兒標準差的平方
標準迴歸係數=(共變數÷兒標準差的平方×兒標準差)÷母標準差
=共變數÷兒標準差÷母標準差
=24÷6÷5
=0.8
估計標準誤
估計標準誤=√1-(相關係數)平方×兒標準差
=(√1-0.8的平方)×6
=(√1-0.64)×6
=0.6×6
=3.6
| 52.某校學生(400人)國文科段考成績的變異數為100分,社會科段考成績的變異數為81分,兩科成績的積差相關係數r=0.5,那麼這兩科成績的共變數應為多少? (A)45 (B)90.5 (C)202.5 (D)4050 |
(標準差就是變異數的正平方根) 敬請不吝指正 :)
→本題 10 位母親與其子的身高,母親身高(X)的平均數為 168,標準差為 5;兒子身高(Y)的 平均數為 172,標準差為 6。母子之間身高的共變數為 24
24=相關係數r*5*6
相關係數r=0.8
整理一下&重新釐清
我覺得應該是這樣才對:(^是次方的符號,^2就是平方、^(1/2)代表開根號)
1.共變數是定義出來的一個關聯指標。公式:共變數=r*Sx*Sy
2.標準迴歸係數
(1)標準迴歸係數就是把X和Y分別都經過標準化後,新的相關係數β
(2)回歸公式:y=bx+a,Zy=β*Zx。
(3)其中b=r*Sy/Sx、a=μy-b*μx、β=b*Sx/Sy,也就是說當預測變項只有一個(只有x預測y,一對一的情形)時,β=r。
3.估計標準誤=Sy*(1-r^2)^(1/2)
※前面有人問為甚麼這裡的公式一定要用Sy(也就是兒子的標準差),因為你前面套公式計算出來的r,是r(y.x)的縮寫啊,相關係數r(y.x)的意義是用X來預測Y,如果這裡用Sx,整個公式的意義都矛盾了。你前面的公式設定是用X預測Y,最後計算的時候當然就不能反過來用Y預測X了。如果想反過來,那可能還要重新推導公式才對。