阿摩線上測驗
登入
首頁
>
統計學
>
96年 - 96 初等考試_統計:統計學大意#3397
> 試題詳解
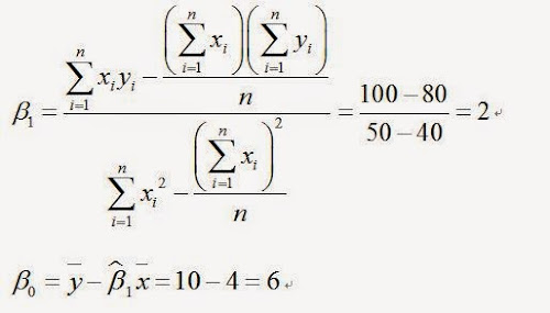
24 則下列何者正確: 1.迴歸線之截距估計值為 -10 2.迴歸線之斜率估計值為 2
(A)1.與2.都正確
(B)僅1.正確
(C)僅2.正確
(D)1.與2.都不正確
答案:
登入後查看
統計:
A(11), B(13), C(72), D(9), E(0) #146511
詳解 (共 3 筆)
Luo Jia-kai
B3 · 2019/04/20
#3300616
y吧不是4嗎,y吧-b1*x吧,應該=0
(共 22 字,隱藏中)
前往觀看
0
0
Wilson
B1 · 2014/10/18
#924276
0
1
王世儒
B2 · 2015/01/10
#973461
beta0是0吧??
0
0
相關試題
「溫度」在量度尺度分類中屬於下列那一種? (A)名目尺度(nominal scale) (B)順序尺度(ordinal scale) (C)區間尺度(interval scale) (D)比值尺度(ratio scale)
#146488
2 「足球員的球衣號碼」在量度尺度分類中屬於下列那一種? (A)名目尺度(nominal scale) (B)順序尺度(ordinal scale) (C)區間尺度(interval scale) (D)比值尺度(ratio scale)
#146489
3 一組「樣本」(sample)的觀察值為 3, 7, 5, 6, 7, 2,則「樣本眾數」(sample mode)為: (A) 5 (B) 5.5 (C) 7 (D) 2
#146490
4 袋中有 1 個黑球與 1 個白球。「事件」A 代表第 1 球取到白球,「事件」B 代表第 2 球取到白球。一次取 1 球, 而且取出不放回,則下列敘述何者正確:1. A 與 B 是「互斥事件」(disjoint events) 2. A 與 B 是「獨立 事件」(independent events) (A)1.與2.都正確 (B)僅1.正確 (C)僅2.正確 (D)1.與2.都不正確
#146491
5 袋中有 1 個黑球與 1 個白球。「事件」A 代表第 1 球取到白球,「事件」B 代表第 2 球取到白球。一次取 1 球, 而且取出放回,則下列敘述何者正確:1. A 與 B 是「互斥事件」(disjoint events) 2. A 與 B 是「獨立 事件」(independent events) (A)1.與2.都正確 (B)僅1.正確 (C)僅2.正確 (D)1.與2.都不正確
#146492
6 風速可利用地面上的風速儀或天上的氣象衛星測定。令 X 與 Y 分別代表由風速儀及氣象衛星測得某地之 風速,則通常 X 與 Y 為: (A)正相關 (B)負相關 (C)相關係數為 0 (D)不一定
#146493
7 假設鑽探 1 口井會發現石油之機率為 0.3,而且每次鑽探之結果互為「獨立」。今欲求算鑽探少於 10 次就 會發現 3 口石油井的機率。這個問題中的隨機變數具有什麼機率分配? (A)二項分配 (B)負二項分配 (C)超幾何分配 (D)布阿松分配
#146494
8 一養豬場中體重超過 100 公斤的豬隻占有 1/3,求算隨機抓取 10 隻豬,會發現 5 隻超過 100 公斤的機率。 這個問題中的隨機變數具有什麼機率分配? (A)二項分配 (B)負二項分配 (C)超幾何分配 (D)布阿松分配
#146495
9 甲乙二人比賽乒乓球,採五戰三勝制(亦即任何人累積勝了三局即停止比賽)。假設每場比賽互為獨立且 每場比賽甲勝乙之機率為 0.6。今欲求算甲勝出之機率。這個問題中的隨機變數具有什麼機率分配? (A)二項分配 (B)負二項分配 (C)超幾何分配 (D)布阿松分配
#146496
10 一個機器人投籃球的進球率為0.7,假設每次投擲互為獨立,機器人要投進一球才罷手,則至少投10 球之機率為: (A) (0.7)9 (B) (0.7)10 (C) (0.3)9 (D) (0.3)10
#146497
相關試卷
115年 - 115 身心障礙特種考試_四等_經建行政:統計學概要#138995
2026 年 · #138995
115年 - 115 關務特種考試_三等_關稅統計(選試英文):統計學#138987
2026 年 · #138987
115年 - 115 身心障礙特種考試_三等_統計:統計學#138977
2026 年 · #138977
115年 - 115 關務特種考試_四等_關稅統計(選試英文):統計學概要#138961
2026 年 · #138961
115年 - 115 身心障礙特種考試_三等_經建行政:統計學#138960
2026 年 · #138960
114年 - 114 地方政府公務、離島地區公務特種考試_三等_經建行政、農業行政:統計學#134798
2025 年 · #134798
114年 - 114 地方政府公務、離島地區公務特種考試_四等_經建行政:統計學概要#134781
2025 年 · #134781
114年 - 114 地方政府公務特種考試_三等_統計:統計學#134714
2025 年 · #134714
114年 - 114 地方政府公務特種考試_四等_統計:統計學概要#134710
2025 年 · #134710
114年 - 114 公務升官等考試_薦任_經建行政、工業行政:統計學#133268
2025 年 · #133268