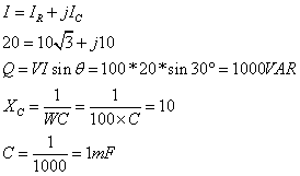
28 如圖電路所示,則下列關於電容器 C 之敘述,何者正確?
(A)流經電容器之電流為(20-10√3)A
(B)電容器產生虛功率為 800 乏
(C)電容抗值為 10 Ω
(D)電容值為 0.1 F

(A)流經電容器之電流為(20-10√3)A
(B)電容器產生虛功率為 800 乏
(C)電容抗值為 10 Ω
(D)電容值為 0.1 F
答案:登入後查看
統計: A(163), B(63), C(707), D(98), E(0) #843159
統計: A(163), B(63), C(707), D(98), E(0) #843159
詳解 (共 10 筆)
#1126407
32
0
#1327157
補充:
V(t)=VmSin(wt +- 角度)
算數時使用有效值 Vrms
Xc
V=IR -> Vc=Ic*Xc100=10*Xc Xc=10Ω
8
0
#5636777
111年上榜解題還願,有錯請指導。


1
0
#1137394
這是三角函數問題
1
3
#3923207
因為RC並聯 +jIc
0
1
#3892074
請問要怎麼看jIc的正負號?
這題怎麼看說是電容身上的電流是j10不是-j10
0
1