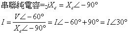
33 有一正弦波電壓的相量式為 100∠-60° ,和一 純電容元件構成一串聯電路,則其電流 之相位角為何?
(A)30°
(B)60°
(C)-60°
(D)-150°
答案:登入後查看
統計: A(699), B(58), C(70), D(139), E(0) #843164
統計: A(699), B(58), C(70), D(139), E(0) #843164
詳解 (共 4 筆)
#1126967


16
0
#1211946
題目沒寫清楚...和一電容元件購成一串連電路 題目跑掉了
3
0
#5636788
111年上榜解題還願,有錯請指導。


2
0