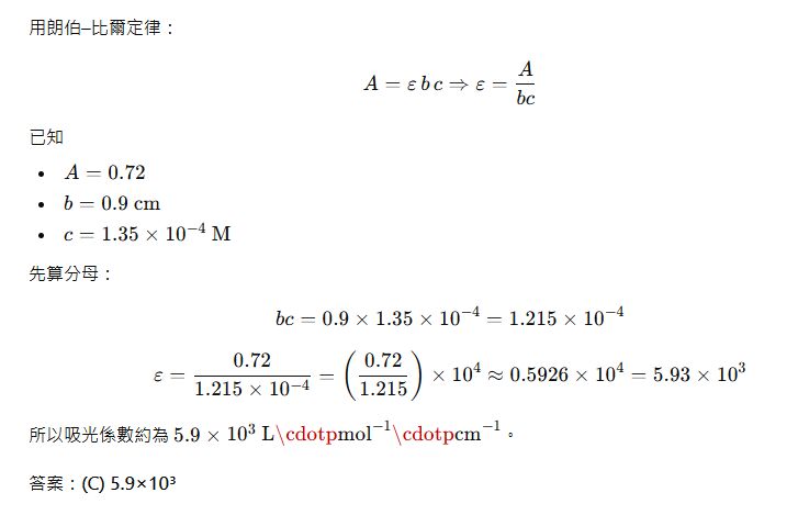
31.光度分析法常用朗伯-比爾定律(Lambert-Beer'slaw),已知某未知溶液濃度為
M,吸光值為0.72,石英管透光光徑為0.9公分,求該物質的吸光係數(L/mol-1cm-1)?
(A)
(B)
(C)5.9×103
(D)1.1×104
答案:登入後查看
統計: A(6), B(16), C(42), D(4), E(0) #3183014
統計: A(6), B(16), C(42), D(4), E(0) #3183014
