阿摩線上測驗
登入
首頁
>
初等/五等/佐級◆統計學大意
>
98年 - 98 初等考試_統計:統計學大意#3395
> 試題詳解
32.
答案:
登入後查看
統計:
A(48), B(49), C(6), D(8), E(0) #176229
詳解 (共 1 筆)
Wilson
B1 · 2014/10/18
#924455
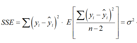
即樣本統計量的標準差
1
0
相關試題
33.
#176230
34.
#176231
35.
#176232
36.
#176233
37.
#176234
38.
#176235
39.
#176236
40.
#176237
下列何種報表是屬於「靜態報表」? (A) 損益表 (B) 資產負債表 (C) 現金流量表 (D) 預算計劃表
#176238
每個國家為了跟他國交易,都會準備一些國際上可以接受的外幣,這就是外匯;而一個國家保有的外匯數量,就是該國的外匯存底。附圖是常見累積外匯存底的三種途徑。請問:外匯存底的累積與下列哪一項的關係最密切? A勞動參與B國民儲蓄C國際貿易D薪資所得
#176239
相關試卷
115年 - 115 初等考試_統計:統計學大意#136704
2026 年 · #136704
114年 - 114 初等考試_統計:統計學大意#124879
2025 年 · #124879
113年 - 113 初等考試_統計:統計學大意#118524
2024 年 · #118524
112年 - 112 初等考試_統計:統計學大意#112888
2023 年 · #112888
111年 - 111 初等考試_統計:統計學大意#105684
2022 年 · #105684
110年 - 110 初等考試_統計:統計學大意#95422
2021 年 · #95422
109年 - 109 初等考試_統計:統計學大意#81996
2020 年 · #81996
108年 - 108 地方政府特種考試_五等_統計:統計學大意#81338
2019 年 · #81338
108年 - 108 初等考試_統計:統計學大意#73986
2019 年 · #73986
107年 - 107 初等考試_統計:統計學大意#67404
2018 年 · #67404