阿摩線上測驗
登入
首頁
>
初等/五等/佐級◆基本電學大意
>
102年 - 102 初等考試_電子工程:基本電學大意#46153
> 試題詳解
試題詳解
試卷:
102年 - 102 初等考試_電子工程:基本電學大意#46153 |
科目:
初等/五等/佐級◆基本電學大意
試卷資訊
試卷名稱:
102年 - 102 初等考試_電子工程:基本電學大意#46153
年份:
102年
科目:
初等/五等/佐級◆基本電學大意
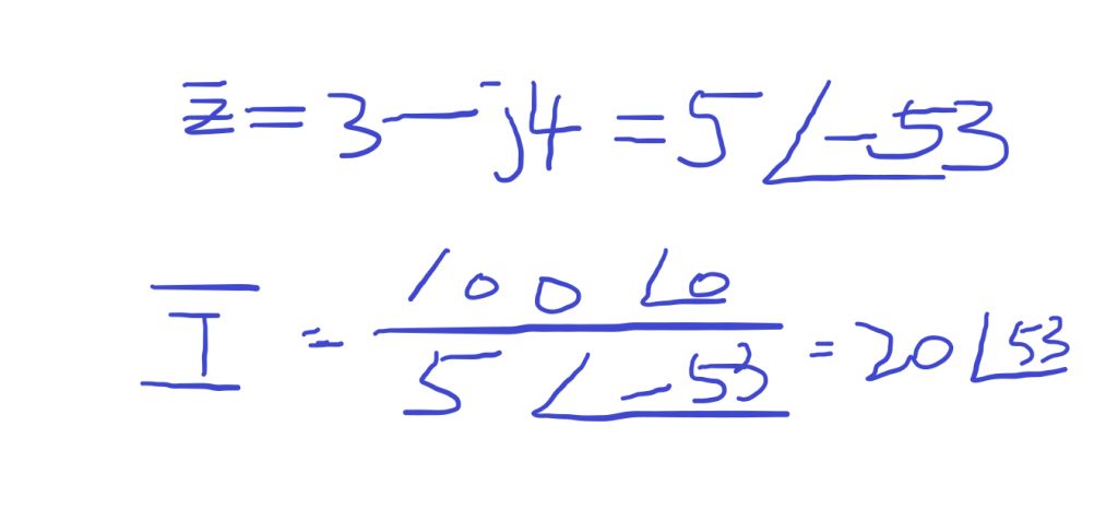
34 有一串聯電路,外加一相量式為 100∠0º 之正弦電壓源,若其串聯阻抗為 3 - j4,則此電路之串聯電流之相量 式為何?
(A)20∠36.9º
(B)20∠-36.9º
(C)20∠53.1º
(D)20∠-53.1º
正確答案:
登入後查看
詳解 (共 2 筆)
中華電已上榜
B1 · 2017/05/13
推薦的詳解#2188289
未解鎖
100∠0º/3-j4=100∠0º/5...
(共 34 字,隱藏中)
前往觀看
13
0
V字白喵(臺鐵電務佐級)
B3 · 2018/03/29
推薦的詳解#2698264
未解鎖
3.4.5的角度就是53.1º,這是基本...
(共 31 字,隱藏中)
前往觀看
3
0
私人筆記 (共 2 筆)
【給你考運】勞贖
2023/02/20
私人筆記#4898257
未解鎖
個人答案試寫(僅供參考)
(共 12 字,隱藏中)
前往觀看
8
0
J
2023/12/05
私人筆記#5621001
未解鎖
(共 0 字,隱藏中)
前往觀看
2
0