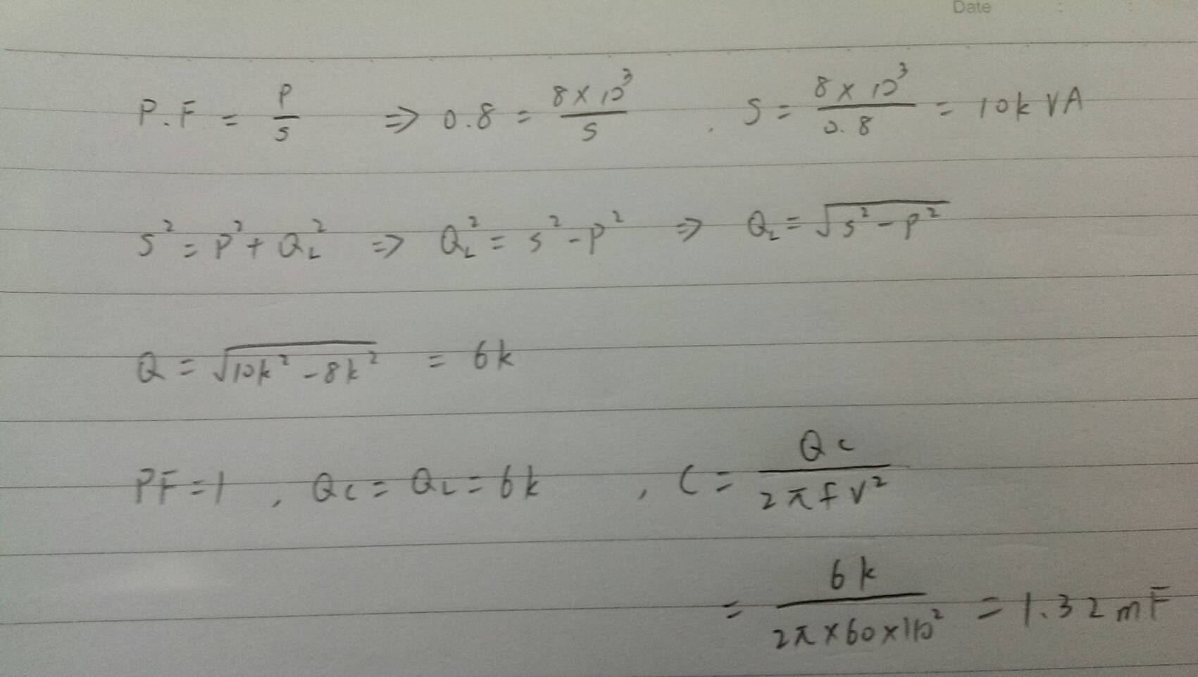
36某交流電感性負載接於110V、60Hz電源,平均消耗功率8kW,功率因數爲0.8滯後,欲提高功率因數至 1.0,約需並聯多大之電容?
(A) 0.25 mF
(B) 0.74 mF
(C)1.32 mF
(D) 2.58 mF
答案:登入後查看
統計: A(50), B(76), C(497), D(59), E(0) #757823
統計: A(50), B(76), C(497), D(59), E(0) #757823
詳解 (共 10 筆)
#1330938
31
0
#3048713

2
0
#1331913
虛功率:Qc=V^2/Xc
2
0
#5104960
電感抗=(110V*110V)/6Kw=2.017歐姆
算電容抗之前需求出電導值=0.497姆歐
0.497/377(t)=0.00132法拉
1
0
#5637808
111年上榜解題還願,有錯請指導。


1
0
#1330463
求解
0
1
#1331521
感恩
0
1
#2758536
請問,為什麼看起來PF變成1,沒有改變什麼?
0
1
#1332981
ok~謝謝
0
1