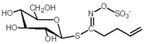
47.Black mustard主要成分sinigrin的化學結構為:
(A)
(B)
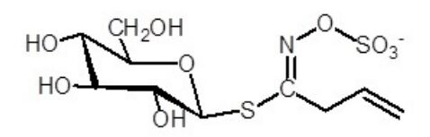
(C)
(D)
答案:登入後查看
統計: A(1938), B(778), C(370), D(142), E(0) #3380678
統計: A(1938), B(778), C(370), D(142), E(0) #3380678
詳解 (共 7 筆)
#6292665
考古
ㅤㅤ
|
Mustard 黑芥子
|
|
| 基源 | Brassica nigra |
| 科別 |
Brassicaceae 十字花科
Cruciferae 芥菜科
|
| 分類 | Isothiocyanate Glycosides 異硫氰酸苷 ( 多屬於 S-glycoside ) |
| 主成分 |
Sinigrin 黑芥酸鉀
![]() |
| 水解 |
Sinigrin --→ (Myrosinase 芥子酶)
--→ Allyl isothionyanaye (mustard oil)
+ glucose + KHSO4
|
| 應用 | 局部刺激劑、催吐劑、引赤發泡劑 |
ㅤㅤ
ㅤㅤ
47. Black mustard主要成分sinigrin的化學結構為:
(A)
(A)
(B)

(C)

(D)

ㅤㅤ
答案:(A)
| sinigrin 黑芥子 | sinalbin 白芥子 |
![]() |
![]() |
下次換考sinalbin(沒...
ㅤㅤ
ㅤㅤ
48. 黑芥子苷(sinigrin)經myrosinase水解後產生的苷元為:
(A) allyl isothiocyanate
(B) benzaldehyde
(C) p-hydroxybenzyl isothiocyanate
(D) mandelonitrile
ㅤㅤ
專技 - 藥物分析與生藥學(包括中藥學) -112年 - 112-2 專技高考_藥師(一):藥物分析與生藥學(含中藥學)#115919答案:(A) allyl isothiocyanate
Sinigrin --→ (Myrosinase 芥子酶) --→ Allyl isothionyanaye (mustard oil) + glucose + KHSO4
ㅤㅤ
ㅤㅤ
48. 下列何者非sinigrin經myrosinase水解後的產物?
(A) glucose
(B) allyl isothiocyanate
(C) rhamnose
(D) potassium hydrogen sulfate
ㅤㅤ
專技 - 藥物分析與生藥學(包括中藥學) -110年 - 110-2 專技高考_藥師(一):藥物分析與生藥學(含中藥學)#100433答案:(C) rhamnose
Sinigrin --→ (Myrosinase 芥子酶) --→ Allyl isothionyanaye (mustard oil) + glucose + KHSO4
ㅤㅤ
ㅤㅤ
43.經過myrosinase水解後會產生p-hydroxybenzyl isothiocyanate(結構如下)之醣苷(glycoside)為下列何者?

(A) glucovanillic alcohol
(B) salicin
(C) sinigrin
(D) sinalbin
專技 - 藥物分析與生藥學(包括中藥學) -109年 - 109-1 專技高考_藥師(一):藥物分析與生藥學(含中藥學)#82767答案:(D) sinalbin - 白芥子 White mustard
Sinalbin --→ (Myrosinase 芥子酶) --→ p-hydroxybenzyl isothiocyanate + glucose
ㅤㅤ
ㅤㅤ
答案:(B) 水解產物 (官能基從C上轉移至N上)
ㅤㅤ
ㅤㅤ
55.下列生藥成分之醣基與非醣基連結原子,何者與其他三種不同?
(A) prunasin
(B) sennoside A
(C) frangulin A
(D) sinigrin
ㅤㅤ
專技 - 藥物分析與生藥學(包括中藥學) -107年 - 107-2 專技高考_藥師(一):藥物分析與生藥學(含中藥學)#70390答案:(D) sinigrin (S-glycoside)
(A) prunasin 野櫻皮 (O-glycoside)
(B) sennoside A 番瀉葉 (O-glycoside)
(C) frangulin A 歐鼠李皮 (O-glycoside)
ㅤㅤ
ㅤㅤ
54. 下列那一個水解後不會產生葡萄糖?
(A) salicin
(B) alliin
(C) sinigrin
(D) arbutin
ㅤㅤ
專技 - 藥物分析與生藥學(包括中藥學) -106年 - 106-1 專技高考_藥師、藥師(一):藥物分析與生藥學(包括中藥學)#60025答案:(B) 大蒜 alliin = allicin + NH3
(A)水楊素 (醇類) Salicin = D-Glucose + Saligenin
(C)黑芥子Sinigrin (異硫氰酸苷) = Allyl isothiocyanate + Glucose + HSO4-
(D)熊果素 (酚類) Arbutin = Hydroquinone + D-Glucose
ㅤㅤ
ㅤㅤ
54. 黑芥子苷(sinigrin)的化學結構屬於:
(A) anthraquinone glycoside
(B) alcohol glycoside
(C) cyanogenic glycoside
(D) isothiocyanate glycoside
ㅤㅤ
專技 - 藥物分析與生藥學(包括中藥學) -106年 - 106-2 專技高考_藥師、藥師(一):藥物分析與生藥學(包括中藥學)#63723答案:(D) isothiocyanate glycoside
ㅤㅤ
ㅤㅤ
51.下列何種配醣體係屬S-glycoside?
(A) amygdalin
(B) arbutin
(C) sinigrin
(D) aloin A
ㅤㅤ
專技 - 藥物分析與生藥學(包括中藥學) -105年 - 105-1 專技高考_藥師、藥師(一):藥物分析與生藥學(包括中藥學)#41270答案:(C) sinigrin
ㅤㅤ
ㅤㅤ
48. 下列有關isothiocyanate glycosides的敘述,何者錯誤?
(A) Sinigrin主要來源為white mustard
(B) Sinigrin水解後會得到allyl isothiocyanate
(C) Gluconapin主要來源為ripe seed
(D) 化合物中的氮原子來源為氨基酸
ㅤㅤ
專技 - 藥物分析與生藥學(包括中藥學) -102年 - 102-2 專技高考_藥師:藥物分析與生藥學(包括中藥學)#10801答案:(A) Sinigrin主要來源為black mustard
ㅤㅤ
75
0


