54下列有幾個問題是屬於「等分除問題」?
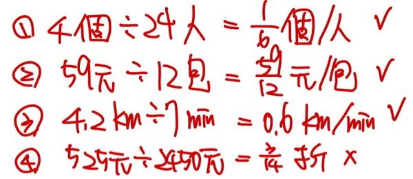
甲、4個披薩,平分給班上24位學童,每人可分到多少個披薩
乙、12包泡麵裝成一袋賣59元,平均1包泡麵賣多少元
丙、象在草原上,7分鐘約奔跑了4.2公里,象奔跑的速率是多少
丁、定價2450元的衣服,打折後以525元賣出,問打了幾折
(A)1
(B)2
(C)3
(D)4
統計: A(508), B(631), C(921), D(49), E(0) #1601752
詳解 (共 8 筆)
包含除就是把原數字中的元素一次一次的拿出來,因為元素包含在元數目之中所以稱作包含除,受原來個數的影響。
*等份除就是預設好你已經要把他分成幾份不論原來的各數是多少,不受原來個數影響。
【舉例】小明有12顆糖,3顆裝成一盒,最多可以裝成幾盒?(包含除問題)
小明有12顆糖,平分裝成3盒,一盒有幾顆糖?(等分除問題)
甲乙丙,單位不同:等分除
丁,單位相同:包含除
包含除是解決單位數未知的問題,就是把原數字中的元素一次一次的拿出來,因為元素包含在元數目之中所以稱作包含除,受原來個數的影響。
包含除:總量÷新單位量=新單位數
等分除等分除是新單位量未知的單位量轉換問題,就是預設好你已經要把他分成幾份不論原來的個數是多少,不受原來個數影響。
等分除:總量÷新單位數=新單位量
甲、4個披薩,平分給班上24位學童,每人可分到多少個披薩:等分除
乙、12包泡麵裝成一袋賣59元,平均1包泡麵賣多少元:等分除
丙、象在草原上,7分鐘約奔跑了4.2公里,象奔跑的速率是多少:等分除
丁、定價2450元的衣服,打折後以525元賣出,問打了幾折 :包含除
歷屆試題:
「48 瓶罐裝可樂平分給6 人,每人分得多少瓶?」是下列何種類型的問題?
(A)離散量包含除
(B)離散量等分除
(C)連續量包含除
(D)連續量等分除
數學- 98 年 - 098年 臺南縣 縣立國民小學< 一般代理教師> 甄試試卷-數學#19195
關於除法哪一概念為錯誤?
(A)12顆糖平分成3盒為等分除
(B)小孩剛學除法時常運用遞減之概念
(C)12顆糖,每4顆一盒,是包含除的概念
(D)有餘數之除法應於六年級學習
綜合前面所述
甲、4個披薩,平分給班上24位學童,每人可分到多少個披薩→等分除
披薩分成24份→平分→等分除
乙、12包泡麵裝成一袋賣59元,平均1包泡麵賣多少元→等分除
59元分成12份→平分→等分除
丙、象在草原上,7分鐘約奔跑了4.2公里,象奔跑的平均速率是多少→等分除
4.2公里分成7份→平分→等分除
丁、定價2450元的衣服,打折後以525元賣出,問打了幾折 →包含除
想簡單一點,若衣服定價100元,1折是10元,若最後打3折,就是折3個10元
(1個10元劃掉,劃3個)→包起來→包含除
答:(C)3
簡單來說:
等分除→平分
包含除→將東西一包一包包起來(一盒巧克力12顆,每3顆包一袋)
