阿摩線上測驗
登入
首頁
>
專技 - 藥劑學(包括生物藥劑學)
>
96年 - 96-2 專技高考_藥師:藥劑學(包括生物藥劑學)#10001
> 試題詳解
試題詳解
試卷:
96年 - 96-2 專技高考_藥師:藥劑學(包括生物藥劑學)#10001 |
科目:
專技 - 藥劑學(包括生物藥劑學)
試卷資訊
試卷名稱:
96年 - 96-2 專技高考_藥師:藥劑學(包括生物藥劑學)#10001
年份:
96年
科目:
專技 - 藥劑學(包括生物藥劑學)
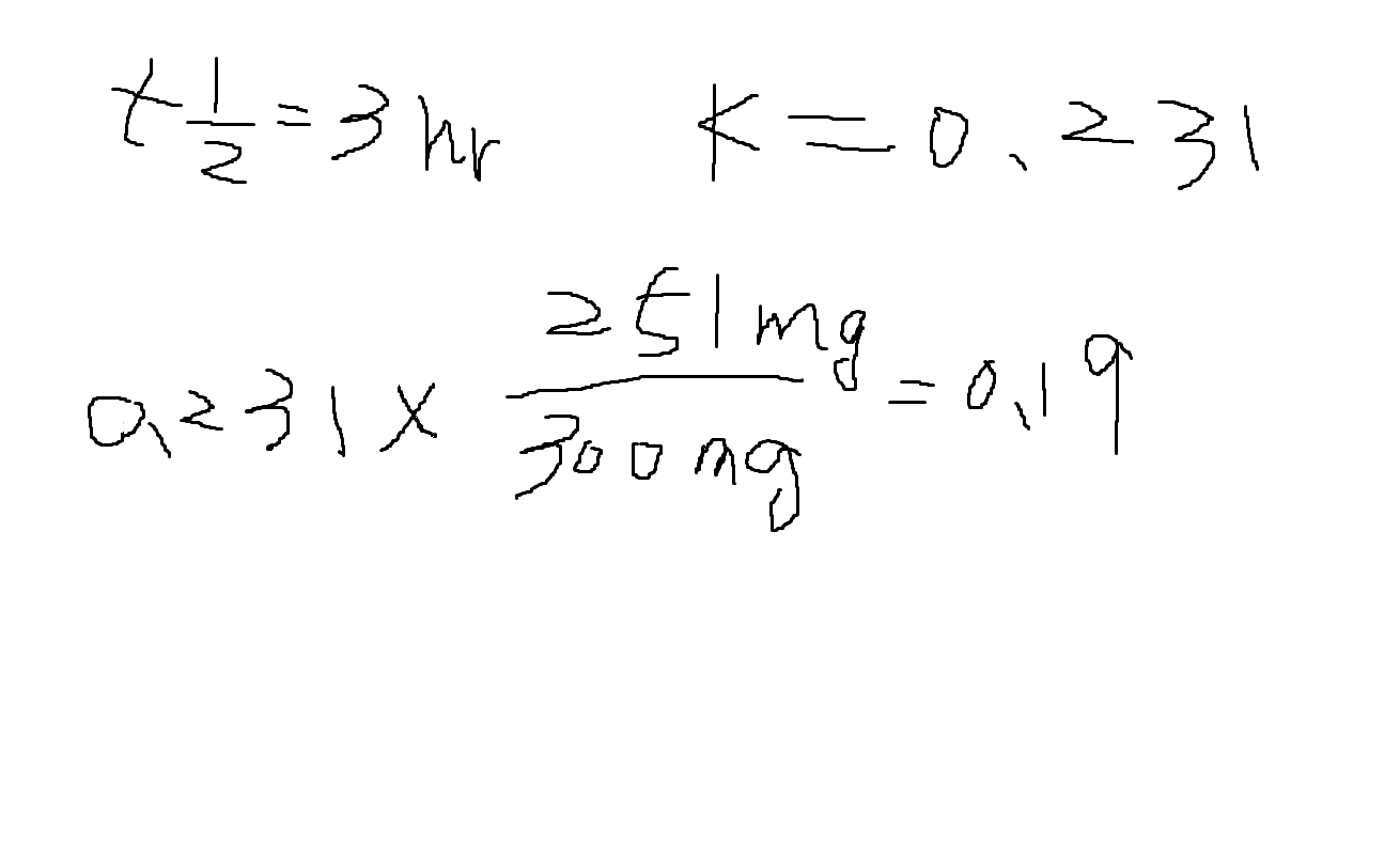
54 某藥物半衰期為3 小時,投予300 mg 給一病患,收集尿液48 小時得其排泄總量為251 mg,則此藥之Ke 約為多少hr -1?
(A) 0.08
(B) 0.19
(C) 0.27
(D) 0.35
正確答案:
登入後查看