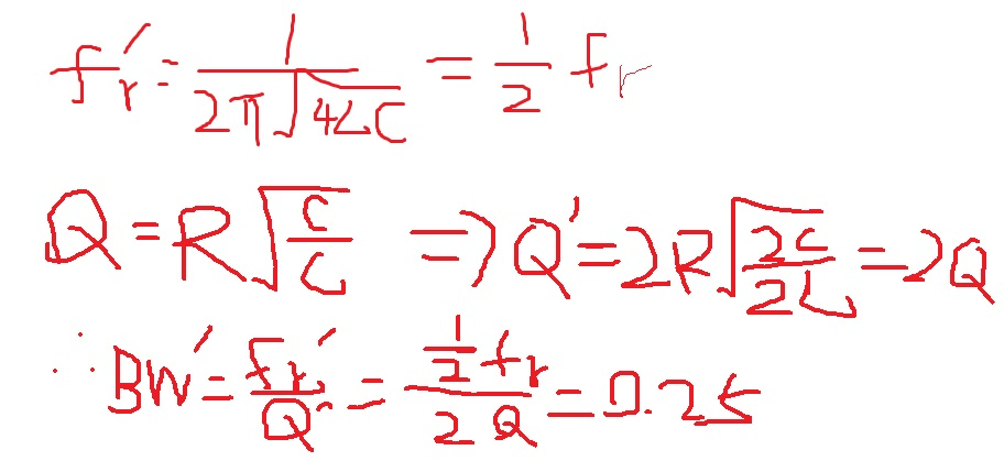
6 弦波電流源 iS所驅動的 RLC 並聯諧振電路,已知其 3 分貝頻寬原為 BW,若 R、L 及 C 值同時變為
原來的 2 倍,新的 3 分貝頻寬為 BW 值的多少倍?
(A) 0.25
(B)0.5
(C)2
(D)8
答案:登入後查看
統計: A(303), B(210), C(118), D(13), E(0) #1028061
統計: A(303), B(210), C(118), D(13), E(0) #1028061
詳解 (共 6 筆)
#1229220
39
0
#1229223
今年的基電不太好寫.........
13
2
#1222084
請此題如何解
2
3
#5642965
111年上榜解題還願,有錯請指導。


0
0