65.某藥以50 mg/h恆速輸注後血中濃度(Cp :mg/L)變化可用Cp = 10(1-e -0.4t)來描述,當口服此藥500 mg後 之血中濃度變化可用Cp = 8(e-0.4t-e -1.0t)來描述,t之單位為h。則此藥口服之生體可用率為何?
(A)12%
(B)16%
(C)20%
(D)24%
答案:登入後查看
統計: A(3275), B(1032), C(1366), D(899), E(0) #1837563
統計: A(3275), B(1032), C(1366), D(899), E(0) #1837563
詳解 (共 10 筆)
#2936446
靜脈輸注
Cp = [R/(VD x k)] x (1-e-kt) = 10 x (1-e-0.4t)
50/0.4VD = 10
VD = 12.5
口服吸收
Cp = (F x ka x D)/[(VDx (ka-k)] x (e-kt-e-kat)
= 8 x(e-0.4t-e-1.0t)
(F x 1 x 500)/[12.5 x (1-0.4)] = 8
F = 0.12
選(A)
228
7
#3414120
這種算法較最佳解快,觀念釐清也比較不易出錯
7F計算錯誤!!!
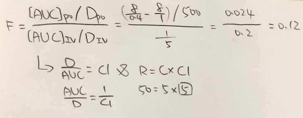
50=10*CL
CL= 5 = D0/AUC
AUC/D0(iv)= 0.2
AUC(po)=8/0.4-8/1=12
F=(12/500mg)/0.2=0.12
177
1
#3138433
70 某藥以靜脈快速注射 50 mg於人體後,其血中濃度 (C p )變化可以公式C (mg/L)=10e -0.2tp 來描述,t之單位為hr。當口服此藥 200 mg後之血中濃度變化可以公式C p (mg/L)=20(e -0.2t -e -1.0t )來描述,t之單位為hr。請問此藥口服之生體可用率為何?
(A) 50%
(B) 40%
(C) 30%
(D) 20%
編輯私有筆記及自訂標籤
這題很搞,只把100年這題的50mg (D0) 改成50mg/h (R),解法就要多一個步驟了

40
0
#3752605
如果忘記或沒背口服公式: {(F x ka x D)÷[VD x (ka-k)]} x (e-kt-e-kat)
然後記得黃色圈起來的公式~


37
0
#3174635
IF
R=CSS*CL
50=10*CL
CL=0.5=D0/AUC
AUC/D0=2
Oral
AUC=8/0.4-8/1=12
生體可用率=(AUCPO/D0,PO )/(AUCIF/D0,IF )=(12/500)/2=0.012=12%
34
9
#4416557
.
22
1