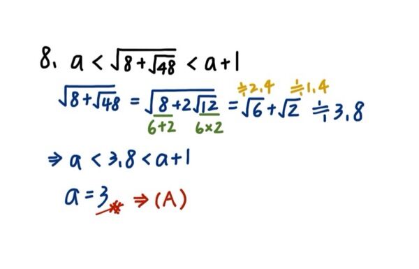
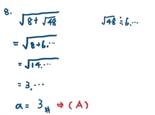
8. 設
,其中
,求a。
(A) 3
(B) 4
(C) 8
(D) 14
答案:登入後查看
統計: A(915), B(144), C(101), D(49), E(0) #3128135
統計: A(915), B(144), C(101), D(49), E(0) #3128135
詳解 (共 7 筆)
#5890700
37
2
#6006974

23
0
#6074244

資料來源:均一教育平台
13
1