阿摩線上測驗
登入
首頁
>
流體力學
>
110年 - 110 普通考試_水利工程:流體力學概要#102755
> 申論題
題組內容
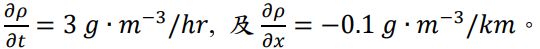
一、一新型無人飛機搭載監測設備於空中沿 x 方向以定速 Va 飛行,並沿程 記錄空氣密度之隨時變化。已知空氣流場之密度隨時間(t)及沿 x 方向 之變化量分別為
(一)若無人飛機測得沿程空氣密度皆為定值,求無人飛機之速度 Va 為何? (15 分)
相關申論題
(二)若無人飛機的速度 Va=60 km/hr 時,其所記錄之空氣密度隨時間變化 量為何?(10 分)
#433408
(一)求平板間隙流之最大流速為何?(15 分)
#433409
(二)求平板間隙流之單寬流量為何?(10 分)
#433410
(一)求二條引水圓管隧道之輸水流量各為何?(15 分)
#433411
(二)求二條引水圓管隧道管之壁剪應力各為何?(10 分)
#433412
(一)下游之水深(y2)為何?(15 分)
#433413
(二)閘門之受力為何?(10 分)
#433414
五、在均勻流狀況下,梯形渠道如圖三,渠道輸水坡度為 305 m 高程下降 0.4 m, 渠道表面為加工混凝土 ( finished concrete ), 曼 寧 係 數 ( Manning coefficient)n = 0.012。試問該渠道水流之福祿數(Froude number)為何?
#560883
四、在水利工程或灌漑工程,經常需要簡便之流量量測設施。閘門則是在明 渠中一種簡便之流量量測設施,應用柏努力方程式與連續方程式推導, 僅需量測渠道上下游高度 z1 與 z2 以及閘門寬度 b,即可使該簡便設施達到準確之流量之量測。 參閱圖二,請推導閘門流量公式:
#560882
(二)邊界動量厚度(momentum thickness)為何?
#560881
相關試卷
114年 - 114 地方政府公務特種考試_三等_水利工程:流體力學#134777
114年 · #134777
114年 - 114 地方政府公務特種考試_四等_水利工程:流體力學概要#134736
114年 · #134736
114年 - 114 專技高考_水利工程技師:流體力學#133675
114年 · #133675
114年 - 114 公務升官等考試_薦任_水利工程:流體力學#133259
114年 · #133259
114年 - 114 普通考試_水利工程:流體力學概要#128762
114年 · #128762
114年 - 114 高等考試_三級_水利工程:流體力學#128749
114年 · #128749
114年 - 114 身心障礙特種考試_三等_水利工程:流體力學#126638
114年 · #126638
113年 - 113 地方政府公務特種考試_三等_水利工程:流體力學#124528
113年 · #124528
113年 - 113 地方政府公務特種考試_四等_水利工程:流體力學概要#124496
113年 · #124496
113年 - 113 專技高考_水利工程技師:流體力學#123974
113年 · #123974