題組內容
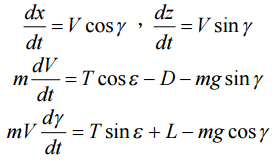
三、若將飛行器之縱向運動方程式表為:


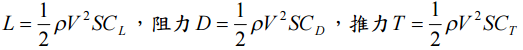
其中 ε與 g 為常數,升力
,
為飛行器水平位移量,z 為航高,m 為質量,V 為航速,γ為飛行路 徑角(flight path angle),ρ為大氣密度,β為常數。若此飛行器之升力與阻力係 數滿足下列公式:
,
為飛行器水平位移量,z 為航高,m 為質量,V 為航速,γ為飛行路 徑角(flight path angle),ρ為大氣密度,β為常數。若此飛行器之升力與阻力係 數滿足下列公式: 
其中 CD0 及 K 為常數。在近似穩態的飛行條件
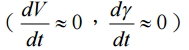
下滑翔飛行 (T=0)求:
下滑翔飛行 (T=0)求: