阿摩線上測驗
登入
首頁
>
飛行力學
> 99年 - 99 專技高考_航空工程技師:飛行力學(包括自動控制與飛機性能)#46594
99年 - 99 專技高考_航空工程技師:飛行力學(包括自動控制與飛機性能)#46594
科目:
飛行力學 |
年份:
99年 |
選擇題數:
0 |
申論題數:
10
試卷資訊
所屬科目:
飛行力學
選擇題 (0)
申論題 (10)
⑴如圖為飛機在垂直面飛行之受力狀況,h 為高度、x 為航程、
為升力向量、
為 阻力向量、
為推力向量、
為速度向量、
為重力向量,其中 m 為飛機 r 質量、 g 為重力加速度向量; γ 為飛行路徑角(flight path angle), ε 為推力向量 與速度向量之夾角。令 c 為飛機之燃油消耗比(specific fuel consumption),請推 導飛機在垂直面飛行之運動方程式(kinematic equation of motion)、動力方程 式(dynamic equation of motion)與質量變率方程式。(10 分)
⑵令 ε = 0 ,試證明在等高度、等速率巡航飛行情況下:(7 分)
,其中 C
D
為阻力係數, C
L
為升力係數。
⑶令ε = 0 ,試證明在等高度、等速率巡航飛行情況下,重量對航程的微分為:(10 分)
,其中 ρ 為大氣密度, S 為參考面積。
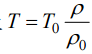
⑷ 假 設
,式中下標 0 為海平面之參考值,利用⑶之公式,試證明
。(10 分)
⑸當一架飛機從起始重量 W
0
,以等高度、等速率巡航至最後重量 W
f
,利用⑷之微 分式,討論如何獲得最大航程。(8 分)
⑴試劃出該飛機之俯仰力矩係數(縱軸)相對於升力係數(橫軸)之圖形。(9 分)
⑵試計算該飛機的配平升力係數。(8 分)
⑶試計算該飛機駕駛桿固定(stick fixed)的中性點(neutral point)
。(8 分)
⑴飛機在三度空間之六自由度飛行,可以使用六個力方程式(force equation)與力 矩方程式(moment equation)來描述,說明從這六個力與力矩方程式,推導出分 析飛機縱向運動(longitudinal motion)與側向運動(lateral motion)穩定性以及 進行控制設計之六個微分方程式的步驟。(15 分)
⑵飛機側向運動的穩定性或不穩定性模式有那幾種?(15 分)
相關試卷
109年 - 109 專技高考_航空工程技師:飛行力學(包括自動控制與飛機性能)#93285
109年 · #93285
107年 - 107 專技高考_航空工程技師:飛行力學(包括自動控制與飛機性能)#72977
107年 · #72977
103年 - 103 專技高考_航空工程技師:飛行力學(包括自動控制與飛機性能)#25352
103年 · #25352
101年 - 101 專技高考_航空工程技師:飛行力學(包括自動控制與飛機性能)#26623
101年 · #26623
97年 - 97 專技高考_航空工程技師:飛行力學(包括自動控制與飛機性能)#37030
97年 · #37030
95年 - 95 專技高考_航空工程技師:飛行力學(包括自動控制與飛機性能)#38289
95年 · #38289