題組內容
五、某農業試驗場對同種作物分別施以 A 肥料及 B 肥料,其各 5 塊實驗田之收穫量相關 資料如下(單位相同) ,今假設兩種肥料之收穫量服從常態分配,並具相同之變異數。
A 肥料:

B 肥料:32 34 30 34 30
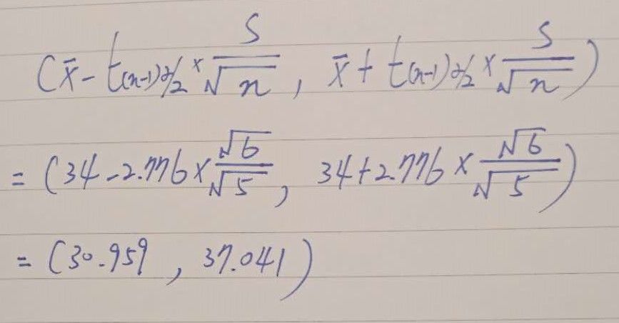
⑴試求施以 A 肥料之所有該作物平均收穫量的 95%信賴區間。( 10 分)
詳解 (共 1 筆)
詳解
小樣本n<30, 樣本來自常態母體, 母體標準差未知, 知道樣本標準差
---用t統計量
95%信賴區間