題組內容
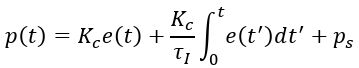
二、一個液位控制器採用 PI 控制模式,其輸出 ( )的數學式為:

其中,控制器參數設定為:比例增益(Proportional Gain)
=2(%輸出/%誤差) , 積分時間 = 4 分鐘。
系統最初處於穩定狀態(t < 0) ,誤差 e(t )=0,控制器輸出穩定在偏置值(bias)
= 40%。
在時間 t=0 時,因上游擾動,使得液位開始下降,產生一個大小為+5% 的階級誤差(即e (t )=5% for t ≥ 0)。 請計算:
(一)在誤差發生瞬間(t = 0⁺) ,控制器輸出p (t)為何?