阿摩線上測驗
登入
首頁
>
通信系統
>
110年 - 110 高等考試_三級_電信工程:通信與系統#102462
> 申論題
題組內容
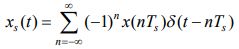
一、令 x(t ) 為低通訊號,其頻寬為W 。將 x(t ) 以 2W 的速率取樣,產生取樣訊號如下:
其中
。
(一)求 xs (t ) 的傅立葉轉換。
相關申論題
(二)如何將取樣訊號 xs (t ) 重新還原 x(t ) 。
#431692
(一)求 m(t ) 的希爾伯(Hilbert)轉換 m ˆ (t ) 。
#431693
(二)求下旁波帶之時域訊號。
#431694
(三)求下旁波帶之傅立葉轉換。
#431695
三、考慮一個通訊系統,使用 個訊號點之星雲圖 S 進行傳輸,且每個 訊號點發生機率皆為1 / M 。其中集合 S 表示為: 若傳輸訊號向量為 , 接收向量表示為 , 其 中 n = [ n1 , n2 ,..., nN ] 為零平均的高斯向量符合: 求此通訊系統在接收端使用最相似檢測器(maximum likelihood detector) 下之錯誤率。
#431696
(一)令 Eb 為平均每個位元傳送能量,求 Eb 。
#431697
(二)求此系統在最相似(maximum likelihood, ML)檢測器下的位元錯誤率, 請以 Eb 及 N 0 表示之。
#431698
(一)令 f c 為載波頻率, f c 應設為何值較為恰當。
#431699
(二)令 R 為 QPSK 符元率(symbol rate),求 R 。
#431700
(三)求滾降係數(rolloff factor) α ,使得傳送訊號可占據整個通道頻寬。
#431701
相關試卷
114年 - 114 地方政府公務特種考試_四等_電信工程:通信系統概要#134755
114年 · #134755
114年 - 114 地方政府公務特種考試_三等_電信工程:通信與系統#134723
114年 · #134723
114年 - 114 公務升官等考試_薦任_電信工程:通信與系統#133270
114年 · #133270
114年 - 114 調查特種考試_三等_電子科學組:通信與系統#129592
114年 · #129592
114年 - 114 高等考試_三級_電信工程:通信與系統#128757
114年 · #128757
114年 - 114 普通考試_電信工程:通信系統概要#128733
114年 · #128733
113年 - 113 地方政府公務特種考試_四等_電信工程:通信系統概要#124540
113年 · #124540
113年 - 113 調查特種考試_三等_電子科學組:通信與系統#122111
113年 · #122111
113年 - 113 普通考試_電信工程:通信系統概要#121514
113年 · #121514
113年 - 113 高等考試_三級_電信工程:通信與系統#121501
113年 · #121501