阿摩線上測驗
登入
首頁
>
技師◆流體力學與流體機械
>
114年 - 114 專技高考_冷凍空調工程技師:流體力學與流體機械#133673
> 申論題
題組內容
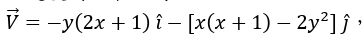
四、一速度場可表示為
,
請回答下列問題
(三)勢函數(potential function)是否存在?如果存在,請求出勢函數。
相關申論題
一、請回答下列各題: (一)拉格朗日(Lagrangian)描述法以及尤拉(Eulerian)皆可用來描述流場,請說明這兩種描述法及解釋其不同處。
#557431
(二)連續假說(continuum hypothesis)為古典力學之重要基礎假說,請描 述解釋此假說之內涵,並說明所帶來的好處及何時此假說會不適用 (invalid)?
#557432
(三)管路系統損失可分為兩種,請說明解釋這兩種損失及其不同處。
#557433
(四)計算管路系統損失時常使用莫迪圖(Moody chart) ,請說明何謂莫迪圖 與其功能。
#557434
(五)比速度(specific speed)是流體機械常應用之無因次參數,請寫出其定 義並詳細說明物理意涵,以及它在選用適當流體機械型式之功能。
#557435
(一)在什麼高度 h,會開始產生空蝕(或稱為空化;cavitation)現象?
#557436
(二)為避免空蝕,請解釋 D1 的值應該增加還是減少?
#557437
(三)為避免空蝕,請解釋 D2 的值應該增加還是減少?
#557438
(一)請計算出流經 bc 截面之質量流率。
#557439
(二) ac 曲線是否為一條流線?請解釋判斷之理由。
#557440
相關試卷
114年 - 114 專技高考_機械工程技師:流體力學與流體機械#133682
114年 · #133682
114年 - 114 專技高考_冷凍空調工程技師:流體力學與流體機械#133673
114年 · #133673
113年 - 113 專技高考_機械工程技師:流體力學與流體機械#123970
113年 · #123970
113年 - 113 專技高考_冷凍空調工程技師:流體力學與流體機械#123961
113年 · #123961
112年 - 112 專技高考_機械工程技師:流體力學與流體機械#117662
112年 · #117662
112年 - 112 專技高考_冷凍空調工程技師:流體力學與流體機械#117610
112年 · #117610
111年 - 111 專技高考_冷凍空調工程技師:流體力學與流體機械#111949
111年 · #111949
111年 - 111 專技高考_機械工程技師:流體力學與流體機械#111948
111年 · #111948
110年 - 110 專技高考_機械工程技師:流體力學與流體機械#104180
110年 · #104180
110年 - 110 專技高考_冷凍空調工程技師:流體力學與流體機械#104172
110年 · #104172