題組內容
二、


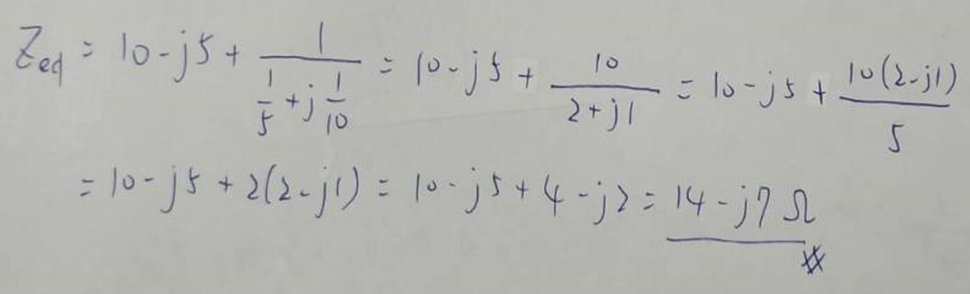
(二)試求圖3電路的等效阻抗。(10分)
詳解 (共 2 筆)
LAI
詳解 #5859496
Zeq = 10 - j5 + ( -j...
(共 221 字,隱藏中)
前往觀看
KJ L
詳解 #5996529
