阿摩線上測驗
登入
首頁
>
通訊系統
>
104年 - 104年二等一般警察人員考試_刑事警察人員電子監察組 通訊概論#22573
> 申論題
題組內容
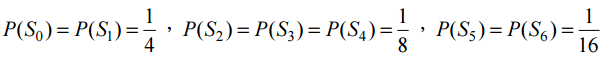
五、一個離散無記憶信號源包含 7 符元,其發生機率為:
(二)請計算平均碼長度。(10 分)
相關申論題
一、使用者 A 欲傳送一訊息 M 至使用者 B,請描述一個傳送機制可滿足下列目標:訊息 M 不會被竄改,和 B 可確認訊息 M 是由 A 發出。(15 分)
#24295
二、(一)電子郵件伺服器間交換訊息,常使用通訊協定為何?(3 分)
#24296
(二)以電子郵件軟體(如 outlook)接收電子郵件伺服器上的郵件至個人電腦中,常使 用通訊協定為何?(3 分)
#24297
(三)以電子郵件軟體傳送郵件至遠端電子郵件伺服器,常使用通訊協定為何?(3 分)
#24298
(四)電子郵件常需要以 base64 編碼,編碼目的為何?(6 分)
#24299
三、(一)在 HTTP 通訊協定中,GET 和 HEAD 指令有何差異?(5 分)
#24300
(二)瀏覽器存取一個網頁時,若內部快取區(cache)已存在這個網頁時,會使用它。 然而,如何保證快取區內網頁內容與遠端網頁內容是一致?請提出一個執行程序, 以確保網頁內容正確且不會過時。(10 分)
#24301
四、一個網路上有四個工作站(A、B、C、D)以 CDMA(Code Division Multiple Access) 技術傳送數位訊號,假設各站傳送一個 on-bit(bit 1)的 chip sequence 如下: A:(−1+1−1−1−1−1+1−1),B:(−1+1−1+1+1+1−1−1), C:(−1−1−1+1+1−1+1+1),D:(−1−1+1−1+1+1+1−1), 若工作站 E 收到訊號為(−1 +1 − 3 +1 −1 − 3 +1 +1 ),請問 A,B,C,D 有無 傳送訊號?又傳送的訊號為何?(12 分)
#24302
五、(一) 802.11 無線區域網路(wireless LAN)常見的架構有兩種型態:Infrastructure 和 Ad hoc,請比較兩者差異?(6 分)
#24303
(二)請舉出兩種適用於無線個人區域網路(Wireless Personal Area Network, WPAN)的 傳輸技術標準,並分別說明其用途。(6 分)
#24304
相關試卷
114年 - 114 專技高考_電子工程技師:通訊系統#133705
114年 · #133705
114年 - 114 國家安全情報特種考試_三等_電子組(選試英文):通訊系統#127789
114年 · #127789
113年 - 113 專技高考_電子工程技師:通訊系統#123975
113年 · #123975
112年 - 112 專技高考_電子工程技師:通訊系統#117684
112年 · #117684
112年 - 112 國家安全情報特種考試_三等_電子組(選試英文):通訊系統#114831
112年 · #114831
111年 - 111 專技高考_電子工程技師:通訊系統#111978
111年 · #111978
111年 - 111 警察特種考試_三等_交通警察人員電訊組:通訊系統#108624
111年 · #108624
111年 - 111 國家安全情報特種考試_三等_電子組(選試英文):通訊系統#108610
111年 · #108610
110年 - 110 專技高考_電子工程技師:通訊系統#104217
110年 · #104217
110年 - 110 警察特種考試_三等_交通警察人員電訊組:通訊系統#101674
110年 · #101674