阿摩線上測驗
登入
首頁
>
統計學
>
111年 - 111 關務特種考試_三等_關稅統計:統計學#107528
> 申論題
題組內容
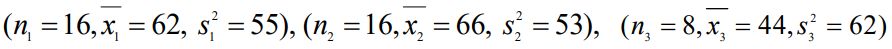
三、自三個獨立的常態母體分別抽取樣本,其樣本大小,樣本平均值和樣 本變異數分別如下:
(二)證明上題的不偏估評估量(unbiasedestimator)確實具有不偏性。 (5分)
相關申論題
(三)若三個母體變異數都相等,估計母體變異數的95%信賴區間 (confidenceinterval)。(5分)
#460573
(四)在三個母體變異數都相等下,檢定三個母體平均值是否全部相等。 列出變異數分析表(ANOVATable),並說明檢定結果。顯著水準 為0.05。(10分)
#460574
(五)由題(四)的檢定結果,再據以檢定是否μ2(第二個母體平均值)大 於μ1(第一個母體平均值)?計算p值,並說明檢定結果。顯著 水準為0.05。(5分) 註:若分配的自由度不在附表裡,則以附表裡最接近的自由度代替以 決定臨界值。
#460575
(一)畫出銷售量和價格的散布圖(scatterplot)。(5分)
#460576
(二)依據上題的散布圖,寫出迴歸方程式和其誤差項的假設。(5分)
#460577
(三)以最小平方誤差法(leastsquareserrormethod)估計上題中迴歸方 程式的斜率值。(5分)
#460578
(四)計算誤差變異數的估計值。(5分)
#460579
(五)對迴歸方程式中的斜率檢定是否為零?顯著水準為0.05。(5分)
#460580
(一)專案總工期與要徑作業為何?(12 分)
#460581
(二)在不影響後續作業之最早開工時間,且不影響總工程進度下,B,C,D,F,G 作業允許之最早與最遲開工時間為何?(13 分)
#460582
相關試卷
115年 - 115 身心障礙特種考試_四等_經建行政:統計學概要#138995
115年 · #138995
115年 - 115 關務特種考試_三等_關稅統計(選試英文):統計學#138987
115年 · #138987
115年 - 115 身心障礙特種考試_三等_統計:統計學#138977
115年 · #138977
115年 - 115 關務特種考試_四等_關稅統計(選試英文):統計學概要#138961
115年 · #138961
115年 - 115 身心障礙特種考試_三等_經建行政:統計學#138960
115年 · #138960
114年 - 114 地方政府公務、離島地區公務特種考試_三等_經建行政、農業行政:統計學#134798
114年 · #134798
114年 - 114 地方政府公務、離島地區公務特種考試_四等_經建行政:統計學概要#134781
114年 · #134781
114年 - 114 地方政府公務特種考試_三等_統計:統計學#134714
114年 · #134714
114年 - 114 地方政府公務特種考試_四等_統計:統計學概要#134710
114年 · #134710
114年 - 114 公務升官等考試_薦任_經建行政、工業行政:統計學#133268
114年 · #133268