題組內容
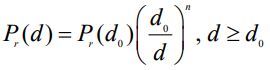
五、考 慮 自 由 空 間 傳 播 模 型 ( free space propagation model ),
,其中 Pr (d ) 是與傳送端距離為 d 的接收功率,d 0 是 參 考 距 離 ( reference distance ), n 是 路 徑 損 失 指 數 ( path loss exponent) 。此外以 PL(d ) 代表在距離為 d 的路徑損失(path loss) ,
代表在距離為 d 的平均路徑損失。
五、考 慮 自 由 空 間 傳 播 模 型 ( free space propagation model ),
,其中 Pr (d ) 是與傳送端距離為 d 的接收功率,d 0 是 參 考 距 離 ( reference distance ), n 是 路 徑 損 失 指 數 ( path loss exponent) 。此外以 PL(d ) 代表在距離為 d 的路徑損失(path loss) ,
代表在距離為 d 的平均路徑損失。