題組內容
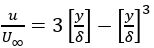
三、一穩定水流(steady flow)流經一多孔平板(porous flat plate) ,同時流體 是以均勻之速度流入平板,而 ac 曲線為邊界層之邊界,且邊界層內之水流速度分布
,其中 δ 為邊界層厚度,
為入口流速。假設平板之長與寬為 10 m(L=10 m)和 1 m(W=1 m),且流體密度為 ρ= 1,000
。

(二) ac 曲線是否為一條流線?請解釋判斷之理由。
三、一穩定水流(steady flow)流經一多孔平板(porous flat plate) ,同時流體 是以均勻之速度流入平板,而 ac 曲線為邊界層之邊界,且邊界層內之水流速度分布
,其中 δ 為邊界層厚度,
為入口流速。假設平板之長與寬為 10 m(L=10 m)和 1 m(W=1 m),且流體密度為 ρ= 1,000
。

(二) ac 曲線是否為一條流線?請解釋判斷之理由。