題組內容
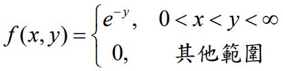
一、假設隨機變數 X 與 Y 有下面的聯合(jointly)機率密度函數(probability density function):

請回答下列問題:
(五)求隨機變數 Y 的變異數。
私人筆記 (共 1 筆)
幫按讚
私人筆記 #6966809
一、假設隨機變數 X 與 Y 有下面的聯合(jointly)機率密度函數(probability density function):

請回答下列問題:
(五)求隨機變數 Y 的變異數。