阿摩線上測驗 登入

申論題資訊

試卷:111年 - 111 普通考試_電信工程:通信系統概要#109468
科目:通信系統
年份:111年
排序:0

題組內容

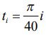
四、對一訊號 y (t ) = sin(20t ) (t 代表時間,單位為秒,以下皆同),在時間62d8c1e61ac12.jpg,i 為整數,做取樣,得到的取樣值為62d8c1fed8895.jpg 。 

申論題內容

(四)若取樣時間改為62d8c25690422.jpg,可否從所得到的取樣值還原 y (t ) ?為什麼?