阿摩線上測驗
登入
首頁
>
作業研究
>
103年 - 103 地方政府特種考試_三等_工業工程:作業研究#31304
> 申論題
題組內容
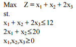
三、考慮線性規劃問題:
(2)已知該問題的最佳解中基變數(basic variable)為
x
1
、x
3
。請利用對偶理論寫出對 偶問題的最佳解。(5 分)
相關申論題
(1)請寫出在考慮資源的限制下,最大化利潤的線性規劃問題以決定最佳生產量。
#68757
(2)請使用 simplex method 找到最佳解。
#68758
(3)c1、c2個別的允許範圍(allowable range)為多少?(註:允許範圍是該參數的範 圍但仍保持原來最佳解中的基變數(basic variable)的基底(basis))
#68759
(4)假設在最佳解的情況下,產品 2 的單位利潤變成 7,你是否會考慮增加產品 2 的 產量?為什麼?
#68760
(5)每一個資源的 shadow prices 為多少?
#68761
(7)假設在最佳解的情況下,市場有人要賣 1 單位資源 1 並開價$2,你是否會購買這 1 單位資源 1?為什麼?
#68762
(1)請將此問題寫成最低成本流量問題(minimal cost flow problem)(註:有 4 個節 點(node),節點 i = 0、1、2、3。節點 i 表示 i 月,i = 1、2、3,節點 0 為一個虛 設節點其供給量(supply)為 40。其中 xoi 為節點 0 到節點 i 的流量,在此表示第 i 月的生產量,xi, i+1為 i 月庫存(會流至 i+1 月),i = 1、2。)(10 分)
#68763
(2)給定最初解為 1 月生產 10 輛,2 月生產 10 輛,3 月生產 20 輛,請利用網路單體 法(network simplex method)求解最佳解。(20 分)
#68764
(1)請寫出它的對偶問題(dual problem)。(5 分)
#68765
(1)畫出轉移率(transition rate)圖以及寫出轉移率矩陣。(10 分)
#68767
相關試卷
114年 - 114 地方政府公務特種考試_三等_工業工程:作業研究#134713
114年 · #134713
114年 - 114 專技高考_工業工程技師:作業研究#133680
114年 · #133680
114年 - 114 高等考試_三級_工業工程:作業研究#128750
114年 · #128750
113年 - 113 地方政府公務特種考試_三等_工業工程:作業研究#124521
113年 · #124521
113年 - 113 專技高考_工業工程技師:作業研究#123885
113年 · #123885
113年 - 113 高等考試_三級_工業工程:作業研究#121489
113年 · #121489
112年 - 112 地方政府特種考試_三等_工業工程:作業研究#118325
112年 · #118325
112年 - 112 專技高考_工業工程技師:作業研究#117594
112年 · #117594
112年 - 112 公務升官等考試_薦任_工業工程:作業研究#117328
112年 · #117328
112年 - 112 高等考試_三級_工業工程:作業研究#115450
112年 · #115450