阿摩線上測驗 登入

申論題資訊

試卷:106年 - 106 調查特種考試_三等_電子科學組:通信與系統#64172
科目:通信系統
年份:106年
排序:0

題組內容

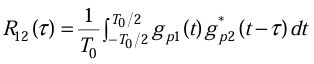
一、假設 是具有相同週期(T0)的兩個週期性訊號,其相關函數(Correlation function)定義如下:

申論題內容

⑴求週期性訊號的個別傅立葉級數展開(Fourier series expansion)式。