阿摩線上測驗
登入
首頁
>
技師◆程序控制
>
99年 - 99 專技高考_化學工程技師:程序控制#27704
> 申論題
題組內容
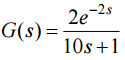
四、考慮程序轉移函數模型為
⑴利用直接合成(direct synthesis)法來設計可實現之回饋控制器Gc(s) ,使得閉迴 路轉移函數滿足 Y(s)/Y
sp
(s)=G
c
G/1+G
c
G)e
-2s
/(2s+1)。(10 分)
相關申論題
⑴加熱程序之轉移函數T' (s)/ 'Q (s)為何?(8 分)
#50583
⑵傳輸器增益 Km為何?(5 分)
#50584
⑶溫度輸出之偏移量(offset)為何?(4 分)
#50585
⑷致動器增益 Ka為何?(8 分)
#50586
⑸當最終穩態達成且無 Ti擾動變化,加熱速率Q (∞) 之值(非偏差量)為何?(5 分)
#50587
⑴利用內迴路之 Kc2將程序 Gp(s)穩定化,試求 Kc2對內迴路之穩定範圍。(10 分)
#50588
⑵將 Kc2設為 6,決定外迴路控制器 Kc1和 τ1 之值,使得串級控制系統的兩個閉迴路 極點(設定點 Ysp(s)至程序輸出 Y(s)之 closed-loop 轉移函數的 pole)皆為-2。 (10 分)
#50589
⑵採用 Taylor 展開來近似時延項e-2s ≈ 1-2s,依據⑴子題結果導出比例積分控制器 之比例增益 Kc和積分時間 τI 。(5 分)
#50591
⑶利用 Padé 近似來處理時延項可得 e-2s ≈(1-s)/(1+s) ,試計算比例控制系統之極限 增益 Kcu 與極限週期 Pu,再依據 Ziegler-Nichols 調諧法則( Kc= 45.0 Kcu、 τI = Pu/1.2)來決定比例積分控制器的參數。(10 分)
#50592
(三)承(二),計算控制閥的可調範圍能力(Valve rangeability)。
#557652
相關試卷
114年 - 114 專技高考_化學工程技師:程序控制#133695
114年 · #133695
113年 - 113 專技高考_化學工程技師:程序控制#123939
113年 · #123939
112年 - 112 專技高考_化學工程技師:程序控制#117666
112年 · #117666
111年 - 111 專技高考_化學工程技師:程序控制#111966
111年 · #111966
110年 - 110 專技高考_化學工程技師:程序控制#104176
110年 · #104176
109年 - 109 專技高考_化學工程技師:程序控制#93303
109年 · #93303
108年 - 108 專技高考_化學工程技師:程序控制#80793
108年 · #80793
107年 - 107 專技高考_化學工程技師:程序控制#73011
107年 · #73011
106年 - 106 專技高考_化學工程技師:程序控制#66471
106年 · #66471
104年 - 104 專技高考_化學工程技師:程序控制#41517
104年 · #41517