阿摩線上測驗
登入
首頁
>
技師◆程序控制
> 99年 - 99 專技高考_化學工程技師:程序控制#27704
99年 - 99 專技高考_化學工程技師:程序控制#27704
科目:
技師◆程序控制 |
年份:
99年 |
選擇題數:
0 |
申論題數:
12
試卷資訊
所屬科目:
技師◆程序控制
選擇題 (0)
申論題 (12)
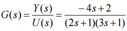
【已刪除】一、某化工程序可由下列轉移函數(transfer function)來表示:
式中 Y(s)與 U(s)分別代表 y(t)與 u(t)之 Laplace 變換。當輸入函數 u(t)為
試推導輸出函數 y(t)在時域(time domain)之表示式。(15 分)
⑴加熱程序之轉移函數T' (s)/ 'Q (s)為何?(8 分)
⑵傳輸器增益 K
m
為何?(5 分)
⑶溫度輸出之偏移量(offset)為何?(4 分)
⑷致動器增益 K
a
為何?(8 分)
⑸當最終穩態達成且無 Ti擾動變化,加熱速率Q (∞) 之值(非偏差量)為何?(5 分)
⑴利用內迴路之 K
c2
將程序 G
p
(s)穩定化,試求 K
c2
對內迴路之穩定範圍。(10 分)
⑵將 K
c2
設為 6,決定外迴路控制器 K
c1
和 τ
1
之值,使得串級控制系統的兩個閉迴路 極點(設定點 Y
sp
(s)至程序輸出 Y(s)之 closed-loop 轉移函數的 pole)皆為-2。 (10 分)
⑴利用直接合成(direct synthesis)法來設計可實現之回饋控制器Gc(s) ,使得閉迴 路轉移函數滿足 Y(s)/Y
sp
(s)=G
c
G/1+G
c
G)e
-2s
/(2s+1)。(10 分)
⑵採用 Taylor 展開來近似時延項e
-2s
≈ 1-2s,依據⑴子題結果導出比例積分控制器 之比例增益 K
c
和積分時間 τ
I
。(5 分)
⑶利用 Padé 近似來處理時延項可得 e
-2s
≈(1-s)/(1+s) ,試計算比例控制系統之極限 增益 K
cu
與極限週期 P
u
,再依據 Ziegler-Nichols 調諧法則( K
c
= 45.0 K
cu
、 τ
I
= P
u
/1.2)來決定比例積分控制器的參數。(10 分)
【已刪除】五、等比率(equal percentage)控制閥之輸出流率 F q 與輸入壓力 p
v
具有下列關係:
q
F
之給定穩態值為q
F
=0.5 m3 /min, p
v
之改變範圍為 3~15 psig。當輸入壓力發生步 階(step)變化後,控制閥約需 1 min(5 倍時間常數)才能達到新的穩態位置。試 將上述關係式線性化並導出控制閥之轉移函數模型 G
v
(s) =K
v
/ (τ
v
s+1) 。(10 分)
相關試卷
114年 - 114 專技高考_化學工程技師:程序控制#133695
114年 · #133695
113年 - 113 專技高考_化學工程技師:程序控制#123939
113年 · #123939
112年 - 112 專技高考_化學工程技師:程序控制#117666
112年 · #117666
111年 - 111 專技高考_化學工程技師:程序控制#111966
111年 · #111966
110年 - 110 專技高考_化學工程技師:程序控制#104176
110年 · #104176
109年 - 109 專技高考_化學工程技師:程序控制#93303
109年 · #93303
108年 - 108 專技高考_化學工程技師:程序控制#80793
108年 · #80793
107年 - 107 專技高考_化學工程技師:程序控制#73011
107年 · #73011
106年 - 106 專技高考_化學工程技師:程序控制#66471
106年 · #66471
104年 - 104 專技高考_化學工程技師:程序控制#41517
104年 · #41517