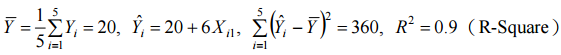
題組內容
二、對資料(Yi , Xi1, Xi2) , i =1,Κ ,5,考慮線性迴歸模式
Yi = β0 + β1Xi1 + β2Xi2 + ε i , i =1,2,Κ ,5
其中 ε1 ,ε2 ,Κ ,ε5 為獨立且平均數為 0,變異數為 σ2 之常態分配(normally distributed) 隨機變數。一些可能會用到的統計量彙整如下:



其中F ( n1 ,n2) 為一分子自由度為n1,分母自由度為n2 的F 分配,而T(n) 為一自由度 為n的t 分配。