阿摩線上測驗
登入
首頁
>
技師◆程序控制
>
100年 - 100 專技高考_化學工程技師:程序控制#27106
> 申論題
題組內容
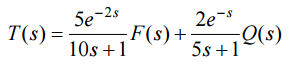
三、若從操作爐所得的轉換函數(Transfer Function)是
T =離開爐的程序液體溫度 F =燃料流速 Q =程序液體流速
⑵畫出此控制策略的方塊圖(Block Diagram),並於方塊圖中顯示在這個程序中使 用的所有轉換函數。(6 分)
相關申論題
⑴ P 控制 kc= 2.5
#47003
⑵ P 控制 kc=1.5
#47004
⑶ PD 控制 kc = 2.5 , τd =2
#47005
⑷ PI 控制 kc =1.5, τ I=2.5 分別配對圖二的 4 個應答(response),以符合上述何者控制器,並說明原因。 未說明任何原因,將不計分。(每小題 5 分,共 20 分)
#47006
⑴設計一個前饋控制(Feedforward Control)系統,可以抑制程序液體流速(Q) 對離 開爐的程序液體溫度 (T)的干擾影響,程序操作變數是燃料流速 (F),請推導前饋 控制器的轉換函數。(10 分)
#47007
四、加熱系統的溫度是由熱電偶檢測,約 15 秒後溫度基本上是呈現正弦變化,在每分鐘 1.8 個週期下,記錄得到的最高溫度是 127℉,最低為 119℉。據估計,在這些條件下 的熱電偶有 4.5 秒的時間常數。假設加熱系統的溫度變化為一階程序,請估算實際的 最高和最低空氣溫度。(15 分)
#47009
⑵若需要 y (t ) 10 ≤ ,計算最大的 x(t) 的步階改變(step change)。(12 分)
#47011
⑴計算 τ m的範圍可使上述系統穩定。(12 分)
#47012
⑵由實際的考量, τ m 應限制在何範圍?(5 分)
#47013
(三)承(二),計算控制閥的可調範圍能力(Valve rangeability)。
#557652
相關試卷
114年 - 114 專技高考_化學工程技師:程序控制#133695
114年 · #133695
113年 - 113 專技高考_化學工程技師:程序控制#123939
113年 · #123939
112年 - 112 專技高考_化學工程技師:程序控制#117666
112年 · #117666
111年 - 111 專技高考_化學工程技師:程序控制#111966
111年 · #111966
110年 - 110 專技高考_化學工程技師:程序控制#104176
110年 · #104176
109年 - 109 專技高考_化學工程技師:程序控制#93303
109年 · #93303
108年 - 108 專技高考_化學工程技師:程序控制#80793
108年 · #80793
107年 - 107 專技高考_化學工程技師:程序控制#73011
107年 · #73011
106年 - 106 專技高考_化學工程技師:程序控制#66471
106年 · #66471
104年 - 104 專技高考_化學工程技師:程序控制#41517
104年 · #41517