阿摩線上測驗
登入
首頁
>
迴歸分析
>
101年 - 101 地方政府特種考試_三等_統計:迴歸分析#26419
> 申論題
申論題
試卷:101年 - 101 地方政府特種考試_三等_統計:迴歸分析#26419
科目:迴歸分析
年份:101年
排序:0
申論題資訊
試卷:
101年 - 101 地方政府特種考試_三等_統計:迴歸分析#26419
科目:
迴歸分析
年份:
101年
排序:
0
題組內容
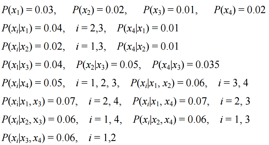
四、令y表示嬰兒身高。一奶粉公司考慮如何選取對身高有益的元素(變數)。現有x
1
, x
2
, x
3
, x
4
四種變數供選取。若A, B為x
1
, x
2
, x
3
, x
4
的部分集合。我們令
, 表示當B集合變數已在模型內時A集合變數的部分F(partial F)檢定統計量。 再令P(A|B)表示F(A|B)觀察值的P值。我們現在有下面P值:
我們考慮 Forward selection 選取變數。在下面問題請說明理由及每階段選取結果。
申論題內容
⑵當 α = 0.03 時,請找出選取的模型。(10 分)