阿摩線上測驗
登入
首頁
>
通訊系統
>
96年 - 96年第二次警察人員、96年關務人員 、96年退除役軍人轉任交通警察人員電訊組(四等)#38210
> 申論題
申論題
試卷:96年 - 96年第二次警察人員、96年關務人員 、96年退除役軍人轉任交通警察人員電訊組(四等)#38210
科目:通訊系統
年份:96年
排序:0
申論題資訊
試卷:
96年 - 96年第二次警察人員、96年關務人員 、96年退除役軍人轉任交通警察人員電訊組(四等)#38210
科目:
通訊系統
年份:
96年
排序:
0
題組內容
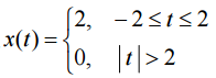
一、茲有一訊號
,請問: (30 分)
申論題內容
⑵訊號x(t)的平的平均功率為何?