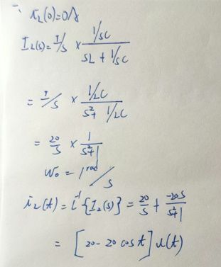
一、請求出圖一中的 iL(0)(5 分),共振頻率ω0(10 分)以及 t≧0 時流經電感的電流 iL(t)(10 分),其中 u(t)為單位步級函數。
詳解 (共 1 筆)
詳解

一、請求出圖一中的 iL(0)(5 分),共振頻率ω0(10 分)以及 t≧0 時流經電感的電流 iL(t)(10 分),其中 u(t)為單位步級函數。
