阿摩線上測驗
登入
首頁
>
國營事業◆1.計算機概論 2.自動控制
>
102年 - 102 經濟部所屬事業機構_新進職員甄試_儀電:1.計算機概論 2.自動控制#19616
> 申論題
題組內容
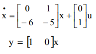
六、一系統之狀態方程式如下:
請設計一狀態回授控制器,以同時滿足下列 2 個條件:
(一)閉迴路極點之阻尼係數ξ = 0.707。
相關申論題
(二)步階響應之 tpeak<3.14 秒。(20 分)
#18078
1.試述檔案評量(portfolio assessment)的意義(4分),並至少列舉三種類型簡要說明之
#18079
2.請依自選的一個學習領域或科目,至少舉三例說明教師如何應用不同的提問技巧
#18080
3.美國華裔球員林書豪的成長經驗顯示:個人若能依據自己的興趣發展,將可突破困難,實現理想。請依據適性發展的觀點,針對現行中學課程的內涵加以評論,並提出能促進適性發展的課程設計取向
#18081
1.試述檔案評量(portfolio assessment)的意義(4分),並至少列舉三種類型簡要說明之(6分)。
#18082
2.請依自選的一個學習領域或科目,至少舉三例說明教師如何應用不同的提問技巧(10分)。
#18083
3.美國華裔球員林書豪的成長經驗顯示:個人若能依據自己的興趣發展,將可突破困難,實現理想。請依據適性發展的觀點,針對現行中學課程的內涵加以評論(5分),並提出能促進適性發展的課程設計取向(5分)。
#18084
二、作文40分(請以黑色、藍色原子筆或鋼筆於作文卷上由左而右、由上而下、橫式書寫) 題目:路 提示:魯迅曾說:「其實地上本沒有路;走的人多了,也便成了路。」這句話看似簡單,意涵卻很深遠。試就這句話帶給我們的啟示,以「路」為題,作文一篇。
#18085
1. 王老師覺得學生很調皮,上課時常搗蛋。例如:今天上課時,他轉身寫黑板,小雄 投擲紙飛機,讓全班哄堂大笑。如果你是王老師,列舉兩種可能的處理策略(6分), 並說明其理論依據(4分)。
#18086
2. 試說明族群偏見(ethnic prejudice)的意涵(4分),並列舉出三個課程教材中族群偏見的 例子(6分)。
#18087
相關試卷
114年 - 114 經濟部所屬事業機構_新進職員甄試試題_儀電:1 .計算機概論 2 .自動控制#136975
114年 · #136975
113年 - 113 經濟部所屬事業機構_新進職員甄試_儀電:計算機概論、自動控制#123758
113年 · #123758
112年 - 112 經濟部所屬事業機構_新進職員甄試_儀電:計算機概論、自動控制#116943
112年 · #116943
111年 - 111 經濟部所屬事業機構_新進職員甄試試題_儀電:1.計算機概論 2.自動控制#111367
111年 · #111367
110年 - 110 經濟部所屬事業機構_新進職員甄試_儀電:1.計算機概論 2.自動控制#103687
110年 · #103687
109年 - 109 經濟部所屬事業機構_新進職員甄試_儀電:1.計算機概論 2.自動控制#92830
109年 · #92830
108年 - 108 經濟部所屬事業機構_新進職員甄試_儀電:1.計算機概論 2.自動控制#80805
108年 · #80805
107年 - 107 經濟部所屬事業機構_新進職員甄試_儀電:1.計算機概論 2.自動控制#74403
107年 · #74403
106年 - 106 經濟部所屬事業機構_新進職員甄試_儀電:1.計算機概論 2.自動控制#69976
106年 · #69976
105年 - 105 經濟部所屬事業機構_新進職員甄試_儀電:1.計算機概論 2.自動控制#60337
105年 · #60337