題組內容
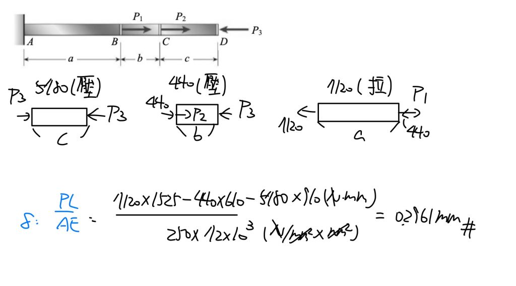
四、一鋁柱截面積 A = 250 mm2 受到 P1 = 7560 N,P2 = 5340 N,及 P3 = 5780 N 之作用力。其各段長度分別為 a = 1525 mm,b = 610 mm,及 c = 910 mm。
⑴若鋁材之彈性模數(modulus of elasticity)為 E = 72 GPa,試求鋁柱之 長度改變量(並註明伸長或縮短) 。 (10 分)
詳解 (共 2 筆)
詳解

詳解
答案在我寫的紙上,怎麼上傳?