阿摩線上測驗
登入
首頁
>
統計學
>
101年 - 101 高等考試_三級_經建行政、工業行政、農業行政、交通技術:統計學#44655
> 申論題
題組內容
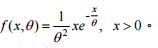
四、假設 X
1
, X
2
,..., X
n
為一組隨機樣本具有如下分配:
⑵請找出θ 的最大概似估計量(mle)。(8 分)
相關申論題
⑴ p2 的100(1 − α )% 信賴區間。(15 分)
#147920
⑵當顯著水準為α ∈ (0,1) ,但未知時,請檢定 H:p2 = 0.4 vs. H:p2 ≠ 0.4 。(10 分) 0 1
#147921
⑴若隨機樣本 X 1 , X 2 , L , X n 具有常態分配 N ( μ ,1) ,則請推導顯著水準為 α 之概似比 (Likelihood Ratio)檢定。(15 分)
#147922
⑵若顯著水準 α = 0.05 、樣本數 n = 25 且樣本平均 x = 4 ,則每公畝平均產量是否仍 為 5 單位?(10 分)
#147923
⑴請推導 Y 的100(1 − α )% 信賴區間。(15 分) 1 16 1 16
#147924
⑴請找出θ 的 Cramer-Rao 下限。(9 分)
#147926
⑶請由 mle 之極限分配導出θ 的100(1 − α )% 信賴區間。(8 分)
#147928
四、隨機選取1200名員工,調查某公司生產部門、銷售部門、財務部門、維修部門等四個部門的滿意度,結果如下表所示。試以α=0.05的顯著水準,計算出卡方統計量(請取至小數 點第2位),並試問滿意度是否隨著部門不同而有所不同? [χ 2 (0.05,5)=11.071; χ 2 (0.05,6)=12.592; χ2 (0.05,7)=14.067]以上問題請寫出虛無假設與對立假設(5分)、卡方值(15分)、假設驗證(5分)。
#562245
三、有一平面鐵路經過某一都市的甲、乙、丙三個區,某學者想調查這三區居民對鐵路高架 化的意見,他隨機抽取甲區28名、乙區31名、丙區41名,詢問他們對於鐵路高架化的意 見是贊成或反對?得到下列資料表。試問這三區居民對鐵路高架化的贊成百分比是否相 同?試寫出統計假設(5分)、計算過程(15分)與結果(5分;無上述過程只寫結果不計分)。( = 5.991) 甲區 乙區 丙區 贊成 23 14 31 68 反對 5 17 10 32 28 31 41 100
#562244
二、某公司過去數年的月營收平均為2000萬元,今年1月至12月之月營收分別為1800萬、2100 萬、2000萬、2300萬、1900萬、2400萬、1700萬、2200萬、2500萬、2200萬、2600萬、 2100萬。試以α=0.05的顯著水準,請計算出假設檢定的t值(請取至小數點第2位),據以檢 定此公司今年的月營收是否較往年月營收為高?[t (0.05,10)=1.8125; t(0.05,11)=1.7959; t(0.05,12)=1.7823] 以上問題請寫出虛無假設與對立假設(5分)、t值(15分)、假設驗證(5分)。
#562243
相關試卷
114年 - 114 地方政府公務、離島地區公務特種考試_三等_經建行政、農業行政:統計學#134798
114年 · #134798
114年 - 114 地方政府公務、離島地區公務特種考試_四等_經建行政:統計學概要#134781
114年 · #134781
114年 - 114 地方政府公務特種考試_三等_統計:統計學#134714
114年 · #134714
114年 - 114 地方政府公務特種考試_四等_統計:統計學概要#134710
114年 · #134710
114年 - 114 公務升官等考試_薦任_經建行政、工業行政:統計學#133268
114年 · #133268
114年 - 114 公務升官等考試_薦任_統計:統計學#133252
114年 · #133252
114年 - 114 原住民族特種考試_四等_經建行政:統計學概要#130952
114年 · #130952
114年 - 114 原住民族特種考試_三等_經建行政:統計學#130950
114年 · #130950
114年 - 114 普通考試_經建行政:統計學概要#128743
114年 · #128743
114年 - 114 高等考試_三級_經建行政、工業行政、農業行政:統計學#128681
114年 · #128681