阿摩線上測驗
登入
首頁
>
飛行力學
>
101年 - 101 專技高考_航空工程技師:飛行力學(包括自動控制與飛機性能)#26623
> 申論題
題組內容
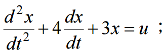
四、有一架飛機之縱向運動方程式可寫為:
1將上式改寫為兩個一次微分方程式;(10 分)
相關申論題
1一般最常用的氣動力效率(aerodynamic efficiency)是升力阻力比,試以攻角(angle of attack)為橫軸、升力阻力比為縱軸,畫出升力阻力比曲線。(10 分)
#44065
2一般大型商用客、貨運輸機的氣動力效率值為何?為什麼?(10 分)
#44066
二、試說明飛機以等速、等高度進行穩定巡航飛行之力的平衡與力矩配平(trim)的條 件。(20 分)
#44067
2寫出該系統的特徵方程式(characteristics equation);(10 分)
#44070
3求出該系統的特徵解並描述系統運動是否為穩定。(10 分)
#44071
五、試說明飛機在水平面轉彎(turning)的過程。(10 分)
#44072
(二)一 Boeing 747 修改版本在其高速配置下以馬赫數 M = 0.90 飛行於高 度 12,000 m、標準大氣中,其相關於本題的參數與穩定性導數如下: 當輸入為一步階(step input) δT=0.1 時,求系統穩定狀態反應 (steady-state response)。
#384740
七、針對飛機縱向運動,對參考軌跡 線性化下列微分方程式假設參考軌跡 滿足下式 其中:(10 分) -m為飛機質量,g0 為重力加速度 -u 0 為縱向參考速率軌跡,u 為縱向速率擾動(perturbation) - X0為縱向力,△X 為縱向擾動力-為參考俯仰角軌跡,θ 表俯仰角擾動,|θ|<<1 -q、w、r、v 為其他微擾量,亦即
#384692
(三)解釋第(二)小題的結果,為什麼只有俯仰角改變了(而不是速率 u)?
#384691
(一)當M δT=0 時系統穩定嗎?解釋原因。
#384690
相關試卷
109年 - 109 專技高考_航空工程技師:飛行力學(包括自動控制與飛機性能)#93285
109年 · #93285
107年 - 107 專技高考_航空工程技師:飛行力學(包括自動控制與飛機性能)#72977
107年 · #72977
103年 - 103 專技高考_航空工程技師:飛行力學(包括自動控制與飛機性能)#25352
103年 · #25352
101年 - 101 專技高考_航空工程技師:飛行力學(包括自動控制與飛機性能)#26623
101年 · #26623
99年 - 99 專技高考_航空工程技師:飛行力學(包括自動控制與飛機性能)#46594
99年 · #46594
97年 - 97 專技高考_航空工程技師:飛行力學(包括自動控制與飛機性能)#37030
97年 · #37030
95年 - 95 專技高考_航空工程技師:飛行力學(包括自動控制與飛機性能)#38289
95年 · #38289