阿摩線上測驗
登入
首頁
>
國中◆數學
> 無年度 - 數學總複習卷#28676
無年度 - 數學總複習卷#28676
科目:
國中◆數學 |
選擇題數:
0 |
申論題數:
29
試卷資訊
所屬科目:
國中◆數學
選擇題 (0)
申論題 (29)
【已刪除】1.計算
可得:
2. 計算9901
2
的過程中,哪一步錯誤? 9901
2
= (A)(9900 +1)
2
=(B)9900
2
+ l
2
+ 2 * 8900 =(C)(10000 - 100)
2
+ l
2
+ 17800 =(D)10000
2
- 100
2
- 2*10000*100 + l
2
+ 17800
3. 7.51 * 10
- 9
+ 7.49 x 10
- 8
較接近下列何數?
(A) 1.5 * 1 0
-7
(B) 1.5 x 10
-9
(C)8.2 x 10
-8
(D)8.2 x 10
-1
【已刪除】4. 如右圖,圓O上四點A,B,C,D,
,則
幾度?
(A)20°(B)25°(C)15°(D)35°
【已刪除】 5.如右圖四邊形,請從圖中標示的角度判斷下列關係何者正確?
【已刪除】6.
【已刪除】
7.已知
三邊長分別為a,b,c,而此三邊上的高分別為h
a
,h
b
,h
c
若a=18,b=30,c=24
,則
=h
a
:h
b
:h
c
?
(A)3:5:4
(B)15:12:20
(C)20:12:15
(D)1:1:1
【已刪除】 8.
(A) 40° (B) 50° (C) 65°(D) 80°
9.下列算是何者值最小?
(A) √31 - √26
(B) √30 -√25
(C) √29 - √24
(D) √28 - √23
10.參加露營的學生分組,三人一組,則多出一人;四人一組,則最後一組少兩人;五人 一組,則多出三人;六人一組,則最後一組少兩人,則參加露營的人數最少幾人? (A)28 (B)58 (C)178 (D)182 (單位:人)
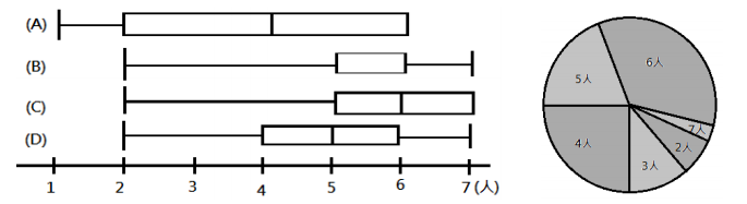
【已刪除】11.右下圖是由紐護調查班上家庭人數後所晝的圓餅圖,其可用盒狀圖表示為下列何者?
【已刪除】12.如右圖,曱袋裝著0.1.3.7.9的數字卡,乙袋裝著0.2.4.5.6.8.的數字卡,若將曱、乙抽出依序當作十位數及個位數,所組成的數(十位數、個位數可為0)為質數的機率為何?(每張卡片被抽出的機會相等)
13.
李鴻章
和
曾國藩
聊天,
曾國藩
說:「清廷和日本簽訂馬關條約時(西元1895年)我的年齡 是你的三倍;與八國聯軍簽訂辛丑合約時(西元1901年)我的年齡是你的兩倍多四歲。」 則
美國
發表門戶開放政策時(西元1899年)
李鴻章
幾歲?
【已刪除】14.
5
則塗色面積占ABC面積的幾分之幾?
【已刪除】15.兩人計算
時,
馬可魯
誤看下式的常數項2,帶入兩組x,y發現他們皆可使 聯立方程式成立;
米辛格
誤看上式的x項係數,解方程式得
,則
馬可魯
和米辛格分別將2和2x看錯成何者?
【已刪除】16.下圖英格蘭(左)與德意志(右)的對話,可推測德意志
原本最多有多少錢?
(A)150(B)1519C)170(D)171
(單位:元)
【已刪除】17.如右圖,平行四邊形 ABCD,
則平行四邊形ABCD面積為下列何者?
(A)84 (B)168 (C)42√2 (D)92√2
【已刪除】18.由小到大共有12個整數,中位數=12,第三四分位數< 13,第二十百分位數>10, 眾數
12,但平均數=12,則關於此數列,何者正確? (A)第三四分位數為13 (B)此數列中最小的數正好就是眾數 (C)此數列最大的數可能為16 (D)以上皆是
【已刪除】19.等腰梯形ABCD中,内接一圓,
,則其内接圓半徑=?
(A)√55 (B) 3√6 (C) 7.5 (D) 8
【已刪除】20.如右圖,
= ? (A)260° (B)245° (C)210 °(D)310 °
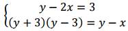
【已刪除】21. 解聯立方程式
若x,y為整數,則x+y=? (A)30 (B)3 (C)12 (D)-6
【已刪除】
22.如右圖,等腰梯形 ABCD,
√925 E,F分別為
中點,試求塗色面積?
(A) 100 (B) 20√37 \ (C) 80 (D)
【已刪除】23.若定義a培b=(a+2)(3b-2)-1,則滿足(m培m)培1=0的所有實數
值=?
24.解ax + b > 0和bx + a < 0皆得x > k,則解-b x + a > 0則可得?
(A)x>1(B)x>-1 (C) x >K (D)無解
【已刪除】25.圓O外部一點P,
則下列敘述何者錯誤?
【已刪除】26.下列敘述何者錯誤?
(A)
(B)
(C)3
x
=6,6
y
=9,則xy= 2
(D)a,b為無理數,則( √5 + a)( √5 + b)也為無理數
【已刪除】27.如下圖雲霄飛車設計圖,地面上的軌道原為二次函數圖形,最高點距地4m,但因過於刺激,設計師改將下坡坡度減小,因此決定過A(距地3.5m,距
最高點
)做原二次函數圖形的切線
[即此斜直線只和原二次函數交於一點],則地面與新軌道的兩個 交點(C , D)按理應距離多長?
【已刪除】1. 0 < a < 6,且 3a
2
+ 3b
2
= 10ab,求
【已刪除】2.
相關試卷
111年 - 一元一次方程式(國中數學)#109842
111年 · #109842
111年 - 二元一次方程式(國中數學)#109841
111年 · #109841
111年 - 直角坐標與方程式的圖形(國中數學)#109840
111年 · #109840
111年 - 比例式與正反比(國中數學)#109838
111年 · #109838
111年 - 不等式(國中數學)#109837
111年 · #109837
111年 - 分數四則運算總複習(國中數學)#109836
111年 · #109836
111年 - 統計圖表與統計量一(國中數學)#109833
111年 · #109833
110年 - 110 陳堡國中資優數學(國二數學週考卷)#106128
110年 · #106128
109年 - 109學年度雲嘉南區國中數學能力競試-數學一試題#93958
109年 · #93958
109年 - 109學年度雲嘉南區國中數學能力競試-數學二試題#93957
109年 · #93957