所屬科目:國中◆數學
(2)=【 】。
4. 計算=【 】。
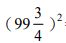
5. 計算=【 】。
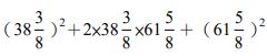
6. 計算=【 】。
8. 計算 =【 】。
9. 計算=【 】
二、 非選擇題-計算 1. 附圖是將兩個邊長分別為 29 公分和 19 公分的等腰直角三角形重疊後的圖形,試求出灰 色部分的面積為多少平方公分?
(4)